Đề thi thử vào 10 năm 2020 2021 môn Toán trường Khánh Hòa Thái Nguyên

  • Đề thi vào lớp 10

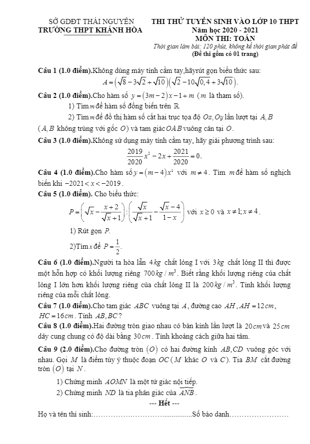
Đề thi thử vào 10 năm 2020-2021 môn Toán trường Khánh Hòa-Thái Nguyên

Chào quý thầy cô và các em học sinh! Dưới đây là đề thi thử tuyển sinh vào lớp 10 THPT năm học 2020-2021 môn Toán trường THPT Khánh Hòa, tỉnh Thái Nguyên. Đề thi bao gồm 10 bài toán dạng tự luận, có thời gian làm bài là 120 phút và có lời giải chi tiết.

Trích dẫn một số câu hỏi từ đề thi thử:

1. Người ta hòa lẫn 4kg chất lỏng I với 3kg chất lỏng II thì được một hỗn hợp có khối lượng riêng 700 kg/m3. Biết rằng khối lượng riêng của chất lỏng I lớn hơn khối lượng riêng của chất lỏng II là 200 kg/m3. Hãy tính khối lượng riêng của từng chất lỏng.

2. Cho đường tròn (O) có hai đường kính AB, CD vuông góc với nhau. Gọi M là điểm thuộc đoạn OC. Tia BM cắt đường tròn (O) tại N. Chứng minh AOMN là một tứ giác nội tiếp và chứng minh ND là tia phân giác của tam giác ANB.

3. Hàm số y = (3m – 2)x – 1 + m (m là tham số). Tìm m để hàm số đồng biến trên R và tìm m để đồ thị hàm số cắt hai trục tọa độ Ox, Oy lần lượt tại A, B.

Hy vọng rằng đề thi này sẽ giúp các em ôn tập và rèn luyện kĩ năng giải các bài toán Toán một cách hiệu quả. Chúc các em thành công!

Đánh giá bài viết cho thầy/cô vui 

0 / 5 0

Your page rank:

Avatar of Phan Quang
       

Về tác giả : Phan Quang

Giáo viên Toán học xuất sắc, sinh năm 1985 tại Hà Nội. Tốt nghiệp Đại học Sư phạm Hà Nội với bằng cử nhân Toán học, thầy có hơn 10 năm kinh nghiệm giảng dạy cấp 2 và ôn thi vào 10. Năm 2024, thầy sáng lập website daygioi.com – nền tảng giáo dục trực tuyến miễn phí, cung cấp bài giảng video, bài tập tương tác và tài liệu ôn tập cho hàng ngàn học sinh Việt Nam. Với phong cách dạy gần gũi, sáng tạo, thầy luôn khơi dậy niềm đam mê Toán học qua ví dụ đời thường. Được phụ huynh và học sinh yêu mến, thầy là nguồn cảm hứng cho thế hệ giáo viên trẻ.

       

Xem nhiều bài của tác giả : Phan Quang