Đề thi thử Toán vào năm 2024 2025 trường THCS Việt Ngọc Bắc Giang

  • Đề thi vào lớp 10

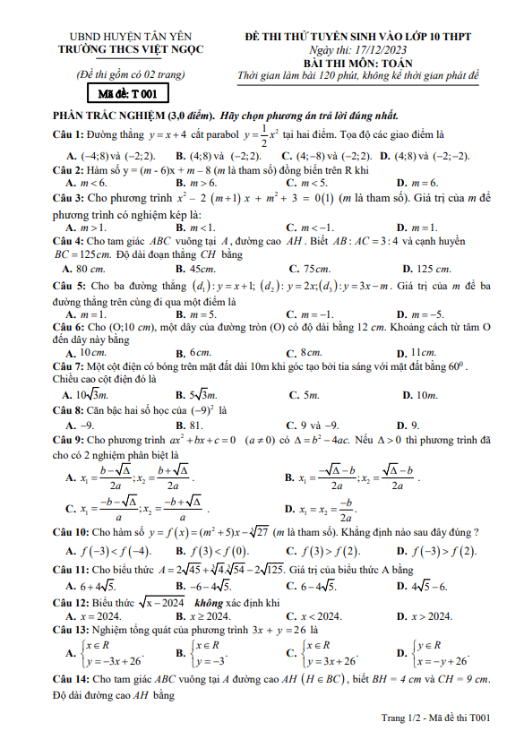
Đề thi thử Toán vào năm 2024 – 2025 trường THCS Việt Ngọc Bắc Giang

Chào các thầy, cô giáo và các bạn học sinh lớp 9! Hôm nay, Sytu xin giới thiệu đến các bạn đề thi thử môn Toán tuyển sinh vào lớp 10 THPT năm học 2024 – 2025 của trường THCS Việt Ngọc, huyện Tân Yên, tỉnh Bắc Giang. Kỳ thi diễn ra vào ngày 17 tháng 12 năm 2023.

Đề thi bao gồm các câu hỏi trắc nghiệm và tự luận, kèm theo đáp án và hướng dẫn chấm điểm. Mỗi bài có mã đề tương ứng để các bạn dễ dàng nhận biết, bao gồm MÃ T001, MÃ T002, MÃ T003.

Dưới đây là một số câu hỏi trong đề thi:

  1. Giải phương trình (2x^m = x^{2m}) với (m = 1011). Tìm m để phương trình có hai nghiệm, trong đó một nghiệm gấp đôi nghiệm còn lại.

  2. Minh muốn mua 1 chiếc bút bi và 1 chiếc bút chì để làm bài. Nếu Minh đã chi hết 30000 đồng tại cửa hàng, hãy tính giá của mỗi loại bút biết rằng tổng tiền mua 5 bút bi và 3 bút chì bằng tổng tiền mua 2 bút bi và 5 bút chì.

  3. Cho tam giác ABC có đường cao AH. Lấy D trên AH sao cho M và N lần lượt là hình chiếu vuông góc của D trên AB và AC. Hãy chứng minh rằng tứ giác BMDH nội tiếp và MN song song với tiếp tuyến tại A của đường tròn ngoại tiếp tam giác ABC.

Nhanh tay tải file WORD này về để chuẩn bị kỹ lưỡng cho kỳ thi tuyển sinh sắp tới nhé!

Đánh giá bài viết cho thầy/cô vui 

0 / 5 0

Your page rank:

Avatar of Phan Quang
       

Về tác giả : Phan Quang

Giáo viên Toán học xuất sắc, sinh năm 1985 tại Hà Nội. Tốt nghiệp Đại học Sư phạm Hà Nội với bằng cử nhân Toán học, thầy có hơn 10 năm kinh nghiệm giảng dạy cấp 2 và ôn thi vào 10. Năm 2024, thầy sáng lập website daygioi.com – nền tảng giáo dục trực tuyến miễn phí, cung cấp bài giảng video, bài tập tương tác và tài liệu ôn tập cho hàng ngàn học sinh Việt Nam. Với phong cách dạy gần gũi, sáng tạo, thầy luôn khơi dậy niềm đam mê Toán học qua ví dụ đời thường. Được phụ huynh và học sinh yêu mến, thầy là nguồn cảm hứng cho thế hệ giáo viên trẻ.

       

Xem nhiều bài của tác giả : Phan Quang