Đề thi thử Toán vào năm 2023 2024 phòng GD ĐT Lục Ngạn Bắc Giang

  • Đề thi vào lớp 10

Đề thi thử Toán vào năm 2023 2024 phòng GD ĐT Lục Ngạn Bắc Giang

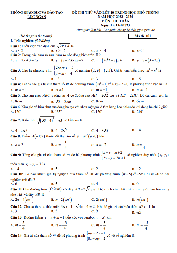
Sytu trân trọng giới thiệu đến quý thầy, cô giáo và các em học sinh lớp 9 đề thi thử môn Toán tuyển sinh vào lớp 10 Trung học Phổ thông năm học 2023 – 2024 phòng Giáo dục và Đào tạo huyện Lục Ngạn, tỉnh Bắc Giang.

Đề thi bao gồm 20 câu trắc nghiệm (chiếm 30%) và 05 câu tự luận (chiếm 70%), thời gian làm bài là 120 phút, không kể thời gian giao đề. Đề thi có đáp án, lời giải chi tiết và hướng dẫn chấm điểm mã đề 101. Kỳ thi sẽ được tổ chức vào thứ Tư ngày 19 tháng 04 năm 2023.

Dưới đây là một số câu hỏi mẫu trong đề thi:

  1. Một nhóm Địa y phát triển trên một khoảng đất hình tròn ứng với tuổi t của Địa y theo công thức: d t 7 12 (với t ≥ 12). Nếu đường kính của một nhóm Địa y cạnh một dòng sông là 42mm, hãy tính xem băng trên dòng sông đó đã tan cách đây bao nhiêu năm.
  2. Một người đầu tư 500 triệu đồng vào trái phiếu doanh nghiệp với lãi suất 8% một năm và trái phiếu Chính phủ với lãi suất 5% một năm. Cuối năm người đó nhận được 35,5 triệu đồng tiền lãi. Hỏi người đó đã đầu tư vào mỗi khoản bao nhiêu tiền?
  3. Chứng minh rằng trong đường tròn (O), với điểm M thuộc đường thẳng không đi qua tâm đường tròn và nằm ngoài đường tròn, qua M vẽ hai tiếp tuyến MC và MD, giao điểm của MO và CD là I, thì có: 1) Tứ giác OCMD là tứ giác nội tiếp. 2) 2 MC MA MB. 3) MIA MBO.

File WORD chứa toàn bộ nội dung của đề thi cần thiết cho quý thầy, cô giáo và các em học sinh.

Đánh giá bài viết cho thầy/cô vui 

0 / 5 0

Your page rank:

Avatar of Phan Quang
       

Về tác giả : Phan Quang

Giáo viên Toán học xuất sắc, sinh năm 1985 tại Hà Nội. Tốt nghiệp Đại học Sư phạm Hà Nội với bằng cử nhân Toán học, thầy có hơn 10 năm kinh nghiệm giảng dạy cấp 2 và ôn thi vào 10. Năm 2024, thầy sáng lập website daygioi.com – nền tảng giáo dục trực tuyến miễn phí, cung cấp bài giảng video, bài tập tương tác và tài liệu ôn tập cho hàng ngàn học sinh Việt Nam. Với phong cách dạy gần gũi, sáng tạo, thầy luôn khơi dậy niềm đam mê Toán học qua ví dụ đời thường. Được phụ huynh và học sinh yêu mến, thầy là nguồn cảm hứng cho thế hệ giáo viên trẻ.

       

Xem nhiều bài của tác giả : Phan Quang