Đề thi thử Toán vào năm 2021 2022 lần 3 trường Nguyễn Công Trứ Hà Nội

  • Đề thi vào lớp 10

Đề thi thử Toán vào năm 2021-2022 lần 3 trường Nguyễn Công Trứ Hà Nội

Sytu xin gửi đến quý thầy cô và các em học sinh đề thi thử Toán vào lớp 10 năm học 2021-2022 lần 3 của trường THCS Nguyễn Công Trứ, quận Ba Đình, thành phố Hà Nội. Đề thi bao gồm đáp án, lời giải chi tiết và hướng dẫn chấm điểm để các em tự kiểm tra và ôn tập kỹ năng của mình.

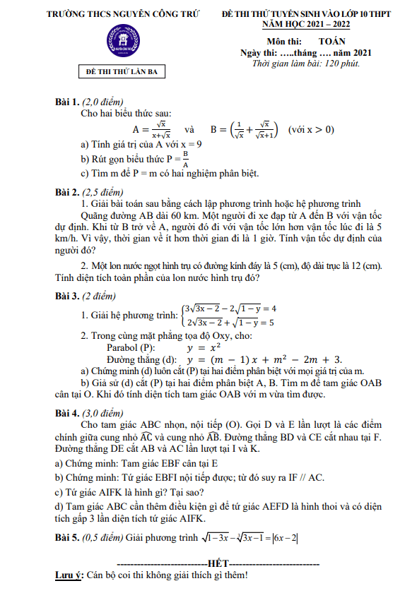
Trích dẫn một số câu hỏi từ đề thi thử Toán vào lớp 10 năm 2021-2022 lần 3 trường Nguyễn Công Trứ Hà Nội:

  • Cho một lon nước ngọt hình trụ có đường kính đáy là 5 (cm), độ dài trục là 12 (cm). Hãy tính diện tích toàn phần của lon nước hình trụ đó.
  • Trong cùng mặt phẳng tọa độ Oxy, có sẵn parabol (P): ….

Đề thi này được thiết kế để giúp các em học sinh ôn tập kiến thức Toán một cách kỹ lưỡng và hiệu quả. Hy vọng rằng đề thi sẽ giúp các em tự tin hơn khi bước vào kỳ thi chính thức và đạt kết quả cao.

Đánh giá bài viết cho thầy/cô vui 

0 / 5 0

Your page rank:

Avatar of Phan Quang
       

Về tác giả : Phan Quang

Giáo viên Toán học xuất sắc, sinh năm 1985 tại Hà Nội. Tốt nghiệp Đại học Sư phạm Hà Nội với bằng cử nhân Toán học, thầy có hơn 10 năm kinh nghiệm giảng dạy cấp 2 và ôn thi vào 10. Năm 2024, thầy sáng lập website daygioi.com – nền tảng giáo dục trực tuyến miễn phí, cung cấp bài giảng video, bài tập tương tác và tài liệu ôn tập cho hàng ngàn học sinh Việt Nam. Với phong cách dạy gần gũi, sáng tạo, thầy luôn khơi dậy niềm đam mê Toán học qua ví dụ đời thường. Được phụ huynh và học sinh yêu mến, thầy là nguồn cảm hứng cho thế hệ giáo viên trẻ.

       

Xem nhiều bài của tác giả : Phan Quang