Đề thi thử Toán vào 10 năm 2021 2022 trường THPT Phan Huy Chú Hà Nội

  • Đề thi vào lớp 10

Đề thi thử Toán vào 10 năm 2021-2022 trường THPT Phan Huy Chú Hà Nội

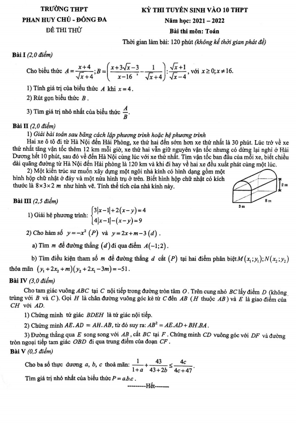
Đề thi thử Toán tuyển sinh vào lớp 10 năm học 2021 – 2022 của trường THPT Phan Huy Chú ở quận Đống Đa, thành phố Hà Nội bao gồm 5 bài toán dạng tự luận. Thời gian làm bài là 120 phút.

Ví dụ bài toán:

Bài 1: Hai chiếc xe ô tô đi từ Hà Nội đến Hải Phòng, trong đó chiếc thứ hai đến sớm hơn 30 phút so với chiếc thứ nhất. Sau khi quay đầu về Hà Nội, chiếc thứ nhất tăng tốc độ thêm 12 km/h, còn chiếc thứ hai vẫn giữ vận tốc ban đầu nhưng dừng lại ở Hải Dương trong 10 phút. Cuối cùng, cả hai xe đều về Hà Nội cùng một lúc. Hãy tính vận tốc ban đầu của mỗi xe, biết khoảng cách từ Hà Nội đến Hải Phòng là 120 km.

Mô tả bài toán:

Trong bài toán này, bạn sẽ phải sử dụng kiến thức về vận tốc, thời gian, và khoảng cách để tìm ra vận tốc ban đầu của hai chiếc xe ô tô. Bạn sẽ cần lập phương trình hoặc hệ phương trình để giải quyết bài toán.

Ý nghĩa của bài toán:

Bài toán giúp bạn ôn tập và áp dụng kiến thức về vận tốc và thời gian trong các tình huống thực tế. Ngoài ra, bài toán cũng giúp bạn rèn luyện kỹ năng giải quyết vấn đề và logic trong suy luận toán học.

Hãy cố gắng giải quyết bài toán một cách cẩn thận và logic để cải thiện kỹ năng giải toán của mình!

Đánh giá bài viết cho thầy/cô vui 

0 / 5 0

Your page rank:

Avatar of Phan Quang
       

Về tác giả : Phan Quang

Giáo viên Toán học xuất sắc, sinh năm 1985 tại Hà Nội. Tốt nghiệp Đại học Sư phạm Hà Nội với bằng cử nhân Toán học, thầy có hơn 10 năm kinh nghiệm giảng dạy cấp 2 và ôn thi vào 10. Năm 2024, thầy sáng lập website daygioi.com – nền tảng giáo dục trực tuyến miễn phí, cung cấp bài giảng video, bài tập tương tác và tài liệu ôn tập cho hàng ngàn học sinh Việt Nam. Với phong cách dạy gần gũi, sáng tạo, thầy luôn khơi dậy niềm đam mê Toán học qua ví dụ đời thường. Được phụ huynh và học sinh yêu mến, thầy là nguồn cảm hứng cho thế hệ giáo viên trẻ.

       

Xem nhiều bài của tác giả : Phan Quang