Đề thi Olympic lớp 8 môn Toán năm 2022 2023 phòng GD ĐT Thường Tín Hà Nội

  • Đề HSG Toán 8

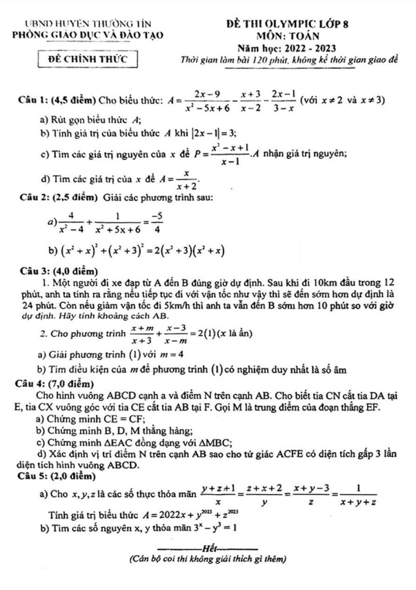
Đề thi Olympic môn Toán lớp 8 năm 2022 – 2023 phòng GD&ĐT Thường Tín Hà Nội

Sytu xin gửi tới quý thầy, cô giáo và các em học sinh lớp 8 đề thi Olympic môn Toán lớp 8 năm học 2022 – 2023 của phòng Giáo dục và Đào tạo UBND huyện Thường Tín, thành phố Hà Nội. Dưới đây là một số câu hỏi từ đề thi:

1. Một người đi xe đạp từ A đến B đúng giờ dự định. Sau khi đi 10km đầu trong 12 phút, anh ta tính ra rằng nếu tiếp tục đi với vận tốc như vậy thì sẽ đến sớm hơn dự định là 24 phút. Còn nếu giảm vận tốc đi 5km/h thì anh ta vẫn đến B sớm hơn 10 phút so với giờ dự định. Hãy tính khoảng cách AB.

2. Cho phương trình a) Giải phương trình (1) với m = 4 b) Tìm điều kiện của m để phương trình (1) có nghiệm duy nhất là số âm.

3. Cho hình vuông ABCD cạnh a và điểm N trên cạnh AB. Chứng minh rằng: a) CE = CF b) B, D, M thẳng hàng c) EAC đồng dạng với MBC d) Xác định vị trí điểm N trên cạnh AB sao cho tứ giác ACFE có diện tích gấp 3 lần diện tích hình vuông ABCD.

Đề thi Olympic lớp 8 môn Toán năm 2022 – 2023 phòng GD&ĐT Thường Tín Hà Nội sẽ là cơ hội để các em thử sức, rèn luyện kỹ năng giải quyết vấn đề và phát triển trí tuệ. Chúc các em đạt kết quả cao trong kỳ thi sắp tới!

Đánh giá bài viết cho thầy/cô vui 

0 / 5 0

Your page rank:

Avatar of Phan Quang
       

Về tác giả : Phan Quang

Giáo viên Toán học xuất sắc, sinh năm 1985 tại Hà Nội. Tốt nghiệp Đại học Sư phạm Hà Nội với bằng cử nhân Toán học, thầy có hơn 10 năm kinh nghiệm giảng dạy cấp 2 và ôn thi vào 10. Năm 2024, thầy sáng lập website daygioi.com – nền tảng giáo dục trực tuyến miễn phí, cung cấp bài giảng video, bài tập tương tác và tài liệu ôn tập cho hàng ngàn học sinh Việt Nam. Với phong cách dạy gần gũi, sáng tạo, thầy luôn khơi dậy niềm đam mê Toán học qua ví dụ đời thường. Được phụ huynh và học sinh yêu mến, thầy là nguồn cảm hứng cho thế hệ giáo viên trẻ.

       

Xem nhiều bài của tác giả : Phan Quang