Đề thi Olympic lớp 8 môn Toán năm 2016 2017 phòng GD ĐT Thanh Oai Hà Nội

  • Đề HSG Toán 8

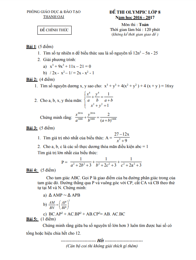
Đề thi Olympic lớp 8 môn Toán năm 2016 2017 phòng GD ĐT Thanh Oai Hà Nội

Chào quý thầy cô và các em học sinh lớp 8, hôm nay Sytu xin giới thiệu đến các bạn đề thi Olympic Toán lớp 8 năm 2016 – 2017 của phòng GD&ĐT Thanh Oai – Hà Nội. Đề thi này cung cấp đáp án, lời giải chi tiết và hướng dẫn chấm điểm để giúp các em ôn tập và kiểm tra kiến thức một cách hiệu quả.

Đề thi gồm một số câu hỏi thú vị như:

  1. Cho tam giác ABC. Gọi P là giao điểm của ba đường phân giác trong của tam giác đó. Đường thẳng qua P và vuông góc với CP, cắt CA và CB theo thứ tự tại M và N. Yêu cầu chứng minh.
  2. Chứng minh rằng giữa ba số nguyên tố lớn hơn 3 luôn tìm được hai số có tổng hoặc hiệu chia hết cho 12.
  3. Tìm số tự nhiên n để biểu thức sau là số nguyên tố: 12n2 – 5n – 25.

Mời các bạn tham gia giải đề thi và nâng cao kiến thức Toán của mình. Chúc các em thành công!

Đánh giá bài viết cho thầy/cô vui 

0 / 5 0

Your page rank:

Avatar of Phan Quang
       

Về tác giả : Phan Quang

Giáo viên Toán học xuất sắc, sinh năm 1985 tại Hà Nội. Tốt nghiệp Đại học Sư phạm Hà Nội với bằng cử nhân Toán học, thầy có hơn 10 năm kinh nghiệm giảng dạy cấp 2 và ôn thi vào 10. Năm 2024, thầy sáng lập website daygioi.com – nền tảng giáo dục trực tuyến miễn phí, cung cấp bài giảng video, bài tập tương tác và tài liệu ôn tập cho hàng ngàn học sinh Việt Nam. Với phong cách dạy gần gũi, sáng tạo, thầy luôn khơi dậy niềm đam mê Toán học qua ví dụ đời thường. Được phụ huynh và học sinh yêu mến, thầy là nguồn cảm hứng cho thế hệ giáo viên trẻ.

       

Xem nhiều bài của tác giả : Phan Quang