Đề thi HSG Toán THPT cấp tỉnh năm 2020 2021 sở GD ĐT Ninh Bình

  • Đề HSG Toán 12

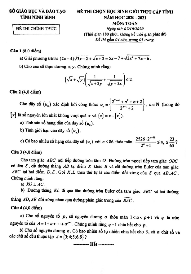
Đề thi HSG Toán THPT cấp tỉnh năm 2020-2021 sở GD&ĐT Ninh Bình

Vào sáng thứ Tư, ngày 07 tháng 10 năm 2020, Sở Giáo dục và Đào tạo tỉnh Ninh Bình đã tổ chức kỳ thi chọn học sinh giỏi THPT cấp tỉnh năm học 2020 – 2021 môn Toán. Bài thi này đặc biệt khó và đầy thử thách, đòi hỏi sự thông minh và sự kiên nhẫn của các thí sinh.

Đề thi HSG Toán THPT cấp tỉnh năm 2020-2021 sở GD&ĐT Ninh Bình được thiết kế với một trang và bao gồm 4 bài toán. Thời gian làm bài thi cho học sinh là 180 phút, đủ để họ tìm ra cách giải đáp cho từng câu hỏi khó khăn.

Trích dẫn một số câu hỏi từ đề thi HSG Toán THPT cấp tỉnh năm 2020-2021 sở GD&ĐT Ninh Bình:

  • Trong một tam giác ABC nội tiếp đường tròn tâm O và đường tròn ngoại tiếp tam giác ABC có tâm S, học sinh cần chứng minh một số mệnh đề phức tạp, như việc chứng minh rằng đường thẳng XO vuông góc với AC.
  • Trong phần khác, một bài toán liên quan đến số nguyên tố và ước số cũng được đưa ra, với yêu cầu chứng minh một quy luật toán học liên quan đến chia hết.
  • Cuối cùng, một bài toán đòi hỏi sự khéo léo trong tính tổ hợp với số tự nhiên chia hết cho 3 và có chữ số thuộc một tập hợp cho trước.

Đề thi HSG Toán THPT cấp tỉnh năm 2020-2021 sở GD&ĐT Ninh Bình không chỉ là một bài thi, mà còn là một cơ hội để các học sinh thể hiện tài năng, sự sáng tạo và khả năng giải quyết vấn đề một cách logic và chính xác.

Đánh giá bài viết cho thầy/cô vui 

0 / 5 0

Your page rank:

Avatar of Phan Quang
       

Về tác giả : Phan Quang

Giáo viên Toán học xuất sắc, sinh năm 1985 tại Hà Nội. Tốt nghiệp Đại học Sư phạm Hà Nội với bằng cử nhân Toán học, thầy có hơn 10 năm kinh nghiệm giảng dạy cấp 2 và ôn thi vào 10. Năm 2024, thầy sáng lập website daygioi.com – nền tảng giáo dục trực tuyến miễn phí, cung cấp bài giảng video, bài tập tương tác và tài liệu ôn tập cho hàng ngàn học sinh Việt Nam. Với phong cách dạy gần gũi, sáng tạo, thầy luôn khơi dậy niềm đam mê Toán học qua ví dụ đời thường. Được phụ huynh và học sinh yêu mến, thầy là nguồn cảm hứng cho thế hệ giáo viên trẻ.

       

Xem nhiều bài của tác giả : Phan Quang