Đề thi HSG lớp 9 môn Toán lần 2 năm 2023 2024 trường THCS Đắk Ơ Bình Phước

  • Đề HSG Toán 9

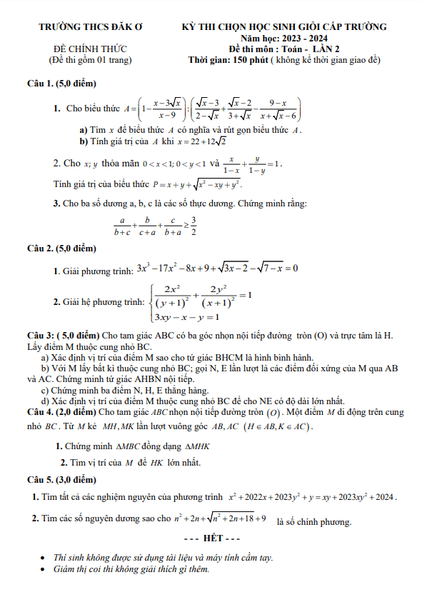
Đề thi HSG Toán lớp 9 lần 2 năm 2023 – 2024 trường THCS Đắk Ơ – Bình PhướcChào đón quý thầy cô và các em học sinh lớp 9, đây là đề thi chọn học sinh giỏi cấp trường môn Toán lớp 9 lần 2 năm học 2023 – 2024 tại trường THCS Đắk Ơ, huyện Bù Gia Mập, tỉnh Bình Phước. Kỳ thi sẽ diễn ra vào ngày 10 tháng 10 năm 2023. Đề thi bao gồm đáp án và hướng dẫn chấm điểm.Dưới đây là một số câu hỏi trích dẫn từ Đề thi HSG Toán lớp 9 lần 2 năm 2023 – 2024 trường THCS Đắk Ơ – Bình Phước:1. Cho tam giác ABC có ba góc nhọn nội tiếp đường tròn (O) và trực tâm là H. Lấy điểm M thuộc cung nhỏ BC. a) Xác định vị trí của điểm M sao cho tứ giác BHCM là hình bình hành. b) Với M lấy bất kì thuộc cung nhỏ BC; gọi N, E lần lượt là các điểm đối xứng của M qua AB và AC. Chứng minh tứ giác AHBN nội tiếp. c) Chứng minh ba điểm N, H, E thẳng hàng. d) Xác định vị trí của điểm M thuộc cung nhỏ BC để cho NE có độ dài lớn nhất.2. Cho tam giác ABC nhọn nội tiếp đường tròn (O). Một điểm M di động trên cung nhỏ BC. Từ M kẻ MH và MK lần lượt vuông góc AB và AC (H AB, K AC). 1. Chứng minh ∆MBC đồng dạng ∆MHK. 2. Tìm vị trí của M để HK lớn nhất.3. Tìm tất cả các nghiệm nguyên của phương trình 22xy – 2023x – 2024y = 0.Đề thi này sẽ giúp các em học sinh ôn tập và củng cố kiến thức Toán một cách hiệu quả. Chúc các em thi tốt!

Đánh giá bài viết cho thầy/cô vui 

0 / 5 0

Your page rank:

Avatar of Phan Quang
       

Về tác giả : Phan Quang

Giáo viên Toán học xuất sắc, sinh năm 1985 tại Hà Nội. Tốt nghiệp Đại học Sư phạm Hà Nội với bằng cử nhân Toán học, thầy có hơn 10 năm kinh nghiệm giảng dạy cấp 2 và ôn thi vào 10. Năm 2024, thầy sáng lập website daygioi.com – nền tảng giáo dục trực tuyến miễn phí, cung cấp bài giảng video, bài tập tương tác và tài liệu ôn tập cho hàng ngàn học sinh Việt Nam. Với phong cách dạy gần gũi, sáng tạo, thầy luôn khơi dậy niềm đam mê Toán học qua ví dụ đời thường. Được phụ huynh và học sinh yêu mến, thầy là nguồn cảm hứng cho thế hệ giáo viên trẻ.

       

Xem nhiều bài của tác giả : Phan Quang