Đề thi HSG lớp 8 môn Toán năm 2019 2020 phòng GD ĐT Lập Thạch Vĩnh Phúc

  • Đề HSG Toán 8

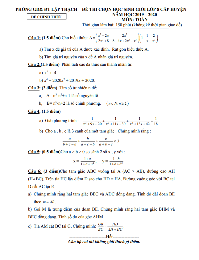
Đề thi HSG lớp 8 môn Toán năm 2019 – 2020 phòng GD ĐT Lập Thạch Vĩnh Phúc

Xin chào quý thầy cô và các em học sinh lớp 8! Đây là đề thi HSG Toán lớp 8 năm 2019 – 2020 của phòng GD&ĐT Lập Thạch – Vĩnh Phúc. Đề thi bao gồm đáp án, lời giải chi tiết và hướng dẫn chấm điểm, nhằm giúp các em ôn tập và chuẩn bị tốt cho kỳ thi sắp tới.

Trích dẫn đề thi:

1. Cho tam giác ABC vuông tại A (AC > AB), đường cao AH (H thuộc BC). Trên tia HC lấy điểm D sao cho HD = HA. Đường vuông góc với BC tại D cắt AC tại E.
a) Chứng minh rằng hai tam giác BEC và ADC đồng dạng. Tính độ dài đoạn BE theo m = AB.
b) Gọi M là trung điểm của đoạn BE. Chứng minh rằng hai tam giác BHM và BEC đồng dạng. Tính số đo của góc AHM.
c) Tia AM cắt BC tại G. Chứng minh.

2. Cho biểu thức A.
a) Tìm x để giá trị của A được xác định. Rút gọn biểu thức A.
b) Tìm giá trị nguyên của x để A nhận giá trị nguyên.

3. Phân tích các đa thức sau thành nhân tử.

Đề thi này sẽ giúp các em ôn tập kiến thức Toán một cách hiệu quả, nắm vững các khái niệm và kỹ năng cần thiết để đạt kết quả cao trong kỳ thi HSG sắp tới. Chúc các em học tốt!

Đánh giá bài viết cho thầy/cô vui 

0 / 5 0

Your page rank:

Avatar of Phan Quang
       

Về tác giả : Phan Quang

Giáo viên Toán học xuất sắc, sinh năm 1985 tại Hà Nội. Tốt nghiệp Đại học Sư phạm Hà Nội với bằng cử nhân Toán học, thầy có hơn 10 năm kinh nghiệm giảng dạy cấp 2 và ôn thi vào 10. Năm 2024, thầy sáng lập website daygioi.com – nền tảng giáo dục trực tuyến miễn phí, cung cấp bài giảng video, bài tập tương tác và tài liệu ôn tập cho hàng ngàn học sinh Việt Nam. Với phong cách dạy gần gũi, sáng tạo, thầy luôn khơi dậy niềm đam mê Toán học qua ví dụ đời thường. Được phụ huynh và học sinh yêu mến, thầy là nguồn cảm hứng cho thế hệ giáo viên trẻ.

       

Xem nhiều bài của tác giả : Phan Quang