Đề thi HSG lớp 12 môn Toán cấp trường năm 2021 2022 trường chuyên Nguyễn Trãi Hải Dương

  • Đề HSG Toán 12

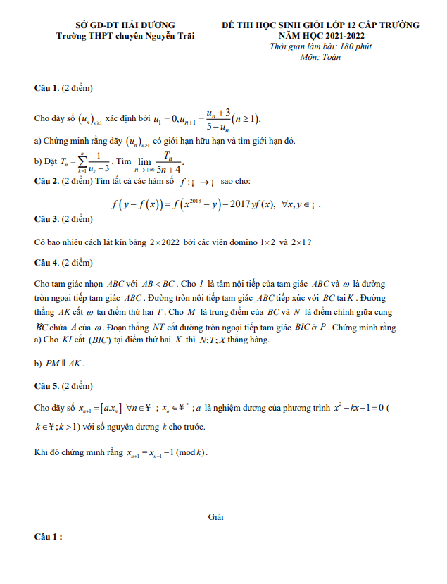
Đề thi HSG Toán lớp 12 cấp trường năm 2021 – 2022 trường chuyên Nguyễn Trãi Hải Dương

Đề thi HSG Toán lớp 12 cấp trường năm 2021 – 2022 trường chuyên Nguyễn Trãi Hải Dương đã được công bố với các câu hỏi được giải chi tiết. Trong đó, có một số câu hỏi khá thú vị và đòi hỏi sự tư duy sáng tạo của học sinh.

Trong đề thi, một trong những câu hỏi khá đặc biệt là câu hỏi về tam giác ABC và các điểm liên quan trong tam giác đó. Học sinh sẽ phải chứng minh các mệnh đề liên quan đến tâm nội tiếp, trung điểm, điểm chính giữa và các đường tròn ngoại và nội tiếp của tam giác. Điều đó đòi hỏi học sinh phải áp dụng kiến thức về hình học và toán học đồng thời với khả năng tư duy logic để giải quyết vấn đề.

Ngoài ra, đề thi cũng đưa ra các bài toán về dãy số và phương trình, yêu cầu học sinh chứng minh một số tính chất của dãy số và tìm ra các phương trình tương đương. Đây là phần kiểm tra khả năng suy luận, phân tích vấn đề của học sinh.

Đề thi cũng đưa ra một câu hỏi thú vị về cách lát kín bảng 2×2022 bằng các viên domino 1×2 và 2×1. Đây là một bài toán về tổ hợp và xác định số cách lát kín bảng đó, đòi hỏi học sinh phải áp dụng kiến thức về tổ hợp và logic để giải quyết.

Trong đề thi này, học sinh sẽ được thách thức với các bài toán đa dạng về hình học, số học và tổ hợp, từ đó phát triển khả năng tư duy logic, suy luận và giải quyết vấn đề. Đây là cơ hội tốt để học sinh thể hiện kiến thức và khả năng của mình trong môn Toán.

Đánh giá bài viết cho thầy/cô vui 

0 / 5 0

Your page rank:

Avatar of Phan Quang
       

Về tác giả : Phan Quang

Giáo viên Toán học xuất sắc, sinh năm 1985 tại Hà Nội. Tốt nghiệp Đại học Sư phạm Hà Nội với bằng cử nhân Toán học, thầy có hơn 10 năm kinh nghiệm giảng dạy cấp 2 và ôn thi vào 10. Năm 2024, thầy sáng lập website daygioi.com – nền tảng giáo dục trực tuyến miễn phí, cung cấp bài giảng video, bài tập tương tác và tài liệu ôn tập cho hàng ngàn học sinh Việt Nam. Với phong cách dạy gần gũi, sáng tạo, thầy luôn khơi dậy niềm đam mê Toán học qua ví dụ đời thường. Được phụ huynh và học sinh yêu mến, thầy là nguồn cảm hứng cho thế hệ giáo viên trẻ.

       

Xem nhiều bài của tác giả : Phan Quang