Đề thi HSG huyện lớp 8 môn Toán năm 2014 2015 phòng GD ĐT Kim Thành Hải Dương

  • Đề HSG Toán 8

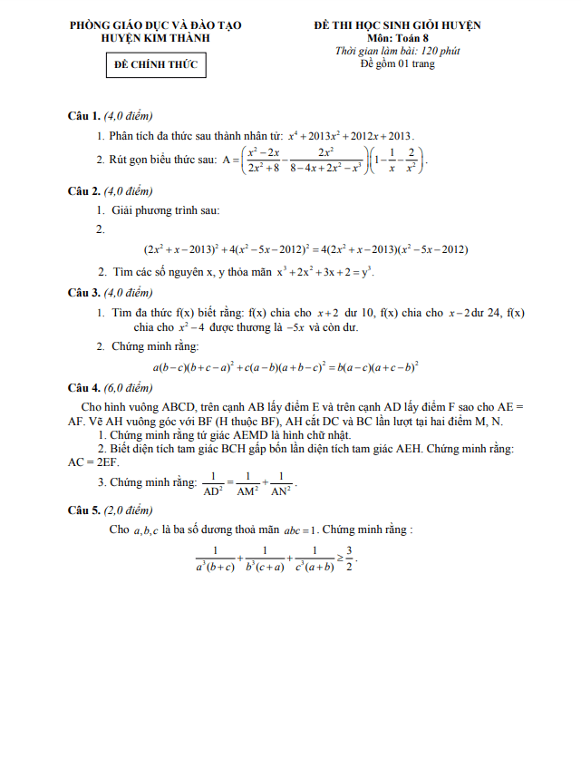
Đề thi HSG huyện lớp 8 môn Toán năm 2014 – 2015 phòng GD ĐT Kim Thành Hải Dương

Sytu xin giới thiệu đến quý thầy cô giáo và các em học sinh lớp 8 đề thi HSG huyện Toán lớp 8 năm học 2014 – 2015 tại phòng GD&ĐT Kim Thành – Hải Dương. Đề thi này bao gồm đáp án và lời giải chi tiết đầy đủ.

Trích dẫn một số câu hỏi trong đề thi:

  1. Cho hình vuông ABCD, trên cạnh AB lấy điểm E và trên cạnh AD lấy điểm F sao cho AE = AF. Vẽ AH vuông góc với BF (H thuộc BF), AH cắt DC và BC lần lượt tại hai điểm M, N. Chứng minh rằng tứ giác AEMD là hình chữ nhật.
  2. Biết diện tích tam giác BCH gấp bốn lần diện tích tam giác AEH. Chứng minh rằng AC = 2EF.
  3. Phân tích đa thức sau thành nhân tử và tìm đa thức f(x) biết rằng: f(x) chia cho x + 2 dư 10, f(x) chia cho x – 2 dư 24, f(x) chia cho x^2 – 4 được thương là -5x và còn dư.

Đề thi này đòi hỏi các em học sinh phải áp dụng kiến thức Toán lớp 8 một cách linh hoạt và logic để giải quyết các bài toán phức tạp. Hy vọng rằng đề thi sẽ giúp các em rèn luyện kỹ năng giải toán, nâng cao khả năng suy luận và phán đoán.

Đánh giá bài viết cho thầy/cô vui 

0 / 5 0

Your page rank:

Avatar of Phan Quang
       

Về tác giả : Phan Quang

Giáo viên Toán học xuất sắc, sinh năm 1985 tại Hà Nội. Tốt nghiệp Đại học Sư phạm Hà Nội với bằng cử nhân Toán học, thầy có hơn 10 năm kinh nghiệm giảng dạy cấp 2 và ôn thi vào 10. Năm 2024, thầy sáng lập website daygioi.com – nền tảng giáo dục trực tuyến miễn phí, cung cấp bài giảng video, bài tập tương tác và tài liệu ôn tập cho hàng ngàn học sinh Việt Nam. Với phong cách dạy gần gũi, sáng tạo, thầy luôn khơi dậy niềm đam mê Toán học qua ví dụ đời thường. Được phụ huynh và học sinh yêu mến, thầy là nguồn cảm hứng cho thế hệ giáo viên trẻ.

       

Xem nhiều bài của tác giả : Phan Quang