Đề thi HSG cấp huyện lớp 6 môn Toán năm 2020 2021 phòng GD ĐT Lương Tài Bắc Ninh

  • Đề HSG Toán 6

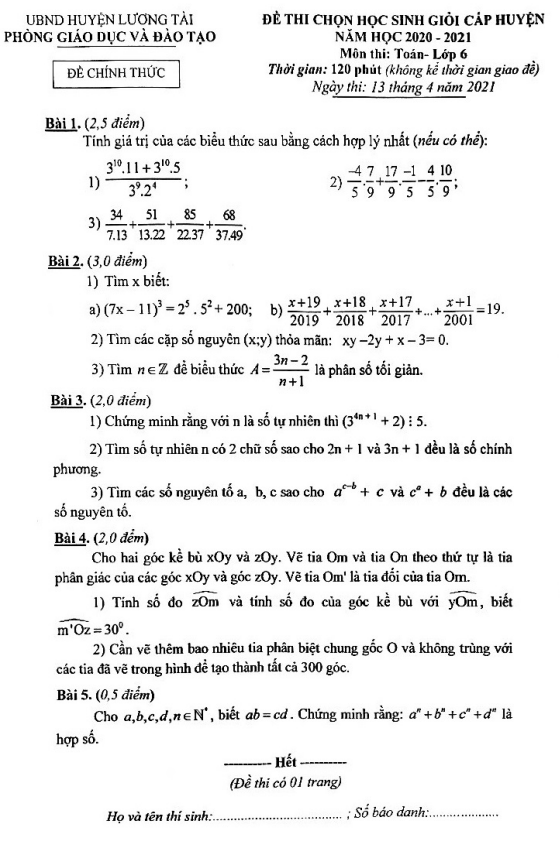
Đề thi HSG cấp huyện Toán lớp 6 năm 2020 – 2021 phòng GD&ĐT Lương Tài – Bắc Ninh

Đề thi HSG cấp huyện Toán lớp 6 năm 2020 – 2021 do phòng GD&ĐT Lương Tài – Bắc Ninh tổ chức gồm 01 trang với 05 bài toán dạng tự luận. Thời gian làm bài trong kỳ thi là 120 phút, diễn ra vào ngày 13 tháng 04 năm 2021. Đề thi này hướng đến việc kiểm tra và đánh giá năng lực toán học của học sinh cấp huyện, đồng thời khuyến khích học sinh rèn luyện và phấn đấu học tập tốt hơn.

Đánh giá bài viết cho thầy/cô vui 

0 / 5 0

Your page rank:

Avatar of Phan Quang
       

Về tác giả : Phan Quang

Giáo viên Toán học xuất sắc, sinh năm 1985 tại Hà Nội. Tốt nghiệp Đại học Sư phạm Hà Nội với bằng cử nhân Toán học, thầy có hơn 10 năm kinh nghiệm giảng dạy cấp 2 và ôn thi vào 10. Năm 2024, thầy sáng lập website daygioi.com – nền tảng giáo dục trực tuyến miễn phí, cung cấp bài giảng video, bài tập tương tác và tài liệu ôn tập cho hàng ngàn học sinh Việt Nam. Với phong cách dạy gần gũi, sáng tạo, thầy luôn khơi dậy niềm đam mê Toán học qua ví dụ đời thường. Được phụ huynh và học sinh yêu mến, thầy là nguồn cảm hứng cho thế hệ giáo viên trẻ.

       

Xem nhiều bài của tác giả : Phan Quang