Đề thi học sinh giỏi Toán THPT cấp tỉnh năm 2019 2020 sở GD ĐT Hậu Giang

  • Đề HSG Toán 12

Đề thi học sinh giỏi Toán THPT cấp tỉnh năm 2019-2020 sở GD&ĐT Hậu Giang

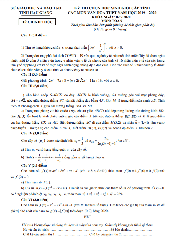
Chào các thầy cô và các em học sinh, mình xin giới thiệu đến quý vị đề thi học sinh giỏi Toán THPT cấp tỉnh năm 2019-2020 của sở GD&ĐT Hậu Giang. Kỳ thi đã diễn ra vào ngày 02 tháng 07 năm 2020, với đề thi có đáp án, lời giải chi tiết và hướng dẫn chấm điểm.

Một trong những câu hỏi trong đề thi là về xác suất. Trong đợt ứng phó đại dịch COVID-19, ngành y tế của một tỉnh miền Tây đã chọn ngẫu nhiên 3 nhân viên trong 6 nhân viên y tế dự phòng của tỉnh và 16 nhân viên y tế của các trung tâm y tế dự phòng cơ sở. Hỏi xác suất để 3 nhân viên y tế được chọn có cả nhân viên y tế của tỉnh và nhân viên y tế của cơ sở.

Câu hỏi tiếp theo liên quan đến hình học với hình chóp có đáy là hình vuông và một số điều kiện cụ thể. Câu hỏi cuối cùng đưa ra một bài toán về tọa độ trong mặt phẳng với định nghĩa các đường thẳng và vectơ pháp tuyến.

Qua các câu hỏi này, học sinh được thách thức với các bài toán tư duy logic, tính toán và ứng dụng kiến thức Toán vào thực tế. Đề thi không chỉ đánh giá kiến thức mà còn khuyến khích học sinh phát triển kỹ năng giải quyết vấn đề và làm việc nhóm.

Đánh giá bài viết cho thầy/cô vui 

0 / 5 0

Your page rank:

Avatar of Phan Quang
       

Về tác giả : Phan Quang

Giáo viên Toán học xuất sắc, sinh năm 1985 tại Hà Nội. Tốt nghiệp Đại học Sư phạm Hà Nội với bằng cử nhân Toán học, thầy có hơn 10 năm kinh nghiệm giảng dạy cấp 2 và ôn thi vào 10. Năm 2024, thầy sáng lập website daygioi.com – nền tảng giáo dục trực tuyến miễn phí, cung cấp bài giảng video, bài tập tương tác và tài liệu ôn tập cho hàng ngàn học sinh Việt Nam. Với phong cách dạy gần gũi, sáng tạo, thầy luôn khơi dậy niềm đam mê Toán học qua ví dụ đời thường. Được phụ huynh và học sinh yêu mến, thầy là nguồn cảm hứng cho thế hệ giáo viên trẻ.

       

Xem nhiều bài của tác giả : Phan Quang