Đề thi học sinh giỏi tỉnh lớp 11 môn Toán năm 2022 2023 sở GD ĐT Hà Tĩnh

  • Đề HSG Toán 11

Đề thi học sinh giỏi tỉnh Toán lớp 11 năm 2022 – 2023 sở GD&ĐT Hà Tĩnh

Sytu xin giới thiệu đến quý thầy cô và các em học sinh lớp 11 đề thi chọn học sinh giỏi cấp tỉnh môn Toán lớp 11 THPT năm học 2022 – 2023 sở Giáo dục và Đào tạo tỉnh Hà Tĩnh. Kỳ thi sẽ diễn ra vào thứ Ba ngày 07 tháng 03 năm 2023. Dưới đây là một số câu hỏi trích dẫn từ đề thi:

1. Trên các cạnh AB, BC, CA của tam giác ABC lần lượt lấy 2, 4, n điểm phân biệt (n > 3 và các điểm không trùng với các đỉnh của tam giác ABC). Biết rằng số tam giác có các đỉnh lấy từ n + 6 điểm đã cho là 247. Hãy tính hệ số của x9 trong khai triển P(x) = (x2 − 2x)n.

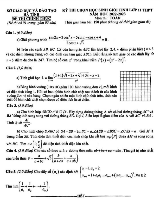
2. Bảng hình vuông (10 × 10) gồm 100 hình vuông đơn vị, mỗi hình có diện tích bằng 1. Hỏi có bao nhiêu hình chữ nhật tạo thành từ các hình vuông đơn vị của bảng. Chọn ngẫu nhiên một hình chữ nhật trên, tính xác suất để hình chữ nhật chọn được có diện tích là số chẵn.

3. Cho hình hộp ABCD.A’B’C’D’. Dựng đường thẳng d cắt cả hai đường thẳng AC’ và BA’ đồng thời song song với đường thẳng BD. Gọi I, J lần lượt là giao điểm của d với AC’ và BA’. Tính tỷ số AI/AC’.

Đánh giá bài viết cho thầy/cô vui 

0 / 5 0

Your page rank:

Avatar of Phan Quang
       

Về tác giả : Phan Quang

Giáo viên Toán học xuất sắc, sinh năm 1985 tại Hà Nội. Tốt nghiệp Đại học Sư phạm Hà Nội với bằng cử nhân Toán học, thầy có hơn 10 năm kinh nghiệm giảng dạy cấp 2 và ôn thi vào 10. Năm 2024, thầy sáng lập website daygioi.com – nền tảng giáo dục trực tuyến miễn phí, cung cấp bài giảng video, bài tập tương tác và tài liệu ôn tập cho hàng ngàn học sinh Việt Nam. Với phong cách dạy gần gũi, sáng tạo, thầy luôn khơi dậy niềm đam mê Toán học qua ví dụ đời thường. Được phụ huynh và học sinh yêu mến, thầy là nguồn cảm hứng cho thế hệ giáo viên trẻ.

       

Xem nhiều bài của tác giả : Phan Quang