Đề thi học sinh giỏi tỉnh lớp 11 môn Toán năm 2020 2021 sở GD ĐT Quảng Ngãi

  • Đề HSG Toán 11

Đề Thi Học Sinh Giỏi Tỉnh Lớp 11 Môn Toán Năm 2020-2021 Sở GD&ĐT Quảng Ngãi

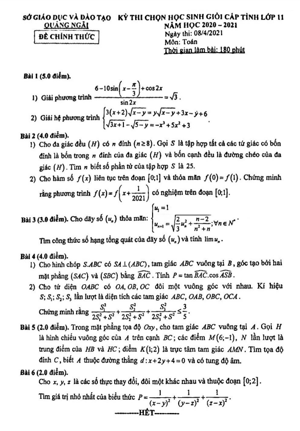
Chiều thứ Năm, ngày 08 tháng 04 năm 2021, Sở Giáo dục và Đào tạo tỉnh Quảng Ngãi đã tổ chức kỳ thi chọn học sinh giỏi cấp tỉnh lớp 11 môn Toán cho năm học 2020-2021. Đề thi gồm 01 trang với 06 bài toán dạng tự luận, và thời gian làm bài thi là 180 phút.

Đề thi học sinh giỏi tỉnh lớp 11 môn Toán năm 2020-2021 tại Sở GD&ĐT Quảng Ngãi được thiết kế để đánh giá năng lực và kiến thức của các học sinh trung học phổ thông. Thông qua việc giải các bài toán, học sinh có cơ hội thể hiện khả năng suy luận, tư duy logic, và khả năng giải quyết vấn đề.

Qua kỳ thi này, học sinh có thể rèn luyện khả năng giải các bài toán phức tạp, nâng cao kiến thức và kỹ năng Toán học, từ đó phát triển tư duy logic và sự linh hoạt trong suy nghĩ. Đây cũng là cơ hội để học sinh thể hiện khả năng của mình và khẳng định vị thế trong giới học sinh giỏi.

Mục tiêu của kỳ thi là tạo ra môi trường cạnh tranh lành mạnh, khích lệ học sinh phấn đấu học tập, rèn luyện kiến thức và kỹ năng, phát triển tiềm năng cá nhân. Kỳ thi cũng là dịp để học sinh giao lưu, học hỏi kinh nghiệm từ nhau, cùng nhau phát triển và tiến bộ trong hành trình học tập.

Đánh giá bài viết cho thầy/cô vui 

0 / 5 0

Your page rank:

Avatar of Phan Quang
       

Về tác giả : Phan Quang

Giáo viên Toán học xuất sắc, sinh năm 1985 tại Hà Nội. Tốt nghiệp Đại học Sư phạm Hà Nội với bằng cử nhân Toán học, thầy có hơn 10 năm kinh nghiệm giảng dạy cấp 2 và ôn thi vào 10. Năm 2024, thầy sáng lập website daygioi.com – nền tảng giáo dục trực tuyến miễn phí, cung cấp bài giảng video, bài tập tương tác và tài liệu ôn tập cho hàng ngàn học sinh Việt Nam. Với phong cách dạy gần gũi, sáng tạo, thầy luôn khơi dậy niềm đam mê Toán học qua ví dụ đời thường. Được phụ huynh và học sinh yêu mến, thầy là nguồn cảm hứng cho thế hệ giáo viên trẻ.

       

Xem nhiều bài của tác giả : Phan Quang