-
Đề HSG Toán 12
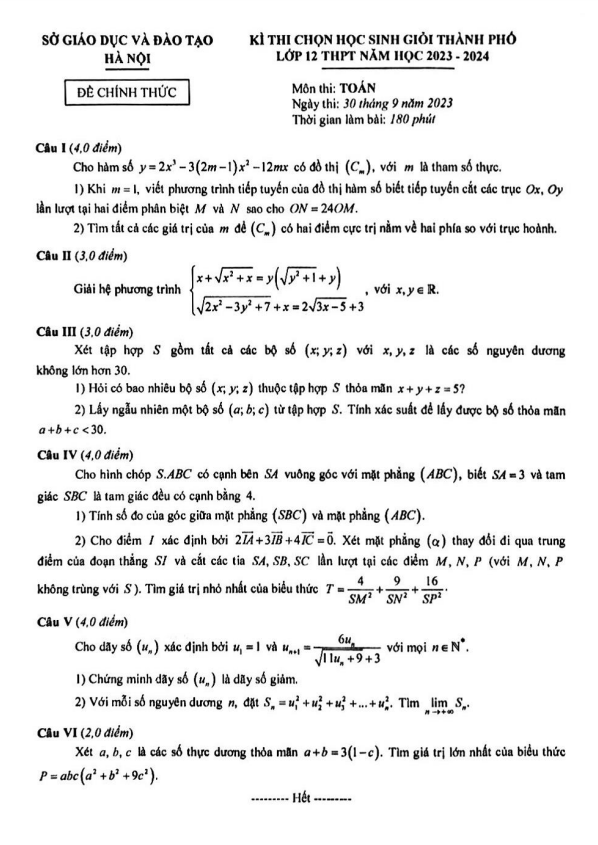
Đề thi học sinh giỏi Toán lớp 12 Hà Nội năm 2023-2024
Chào mừng quý thầy cô giáo và các em học sinh lớp 12, hôm nay chúng ta sẽ cùng điểm qua và phân tích đề thi chọn học sinh giỏi cấp thành phố môn Toán lớp 12 THPT năm học 2023 – 2024 do Sở Giáo dục và Đào tạo thành phố Hà Nội tổ chức. Kỳ thi sẽ diễn ra vào ngày 30 tháng 09 năm 2023.
Đề thi bao gồm ba bài toán đa dạng và phong phú về lời giải và kiến thức Toán học. Mỗi bài toán đều có độ khó và yêu cầu riêng, thách thức học sinh từ khía cạnh logic và tư duy Toán học. Dưới đây là những câu hỏi đặc biệt trong đề thi:
1. Bài toán về hàm số y = 2x³ – 3(2m – 1)x² – 12mx với m là tham số thực. Học sinh cần tìm phương trình tiếp tuyến của đồ thị hàm số khi m = 1 và xác định giá trị của m để đồ thị có hai điểm cực trị nằm về hai phía so với trục hoành.
2. Bài toán về tập hợp S gồm các bộ số nguyên dương không lớn hơn 30. Học sinh cần xác định số lượng bộ số thỏa mãn điều kiện x + y + z = 5 và tính xác suất lấy được bộ số thỏa mãn điều kiện a + b + c
3. Bài toán về hình chóp S.ABC và mặt phẳng (ABC) cùng với điểm I và các mặt phẳng (a) đi qua các điểm trên hình chóp. Học sinh cần tính góc giữa hai mặt phẳng đồng thời tìm giá trị nhỏ nhất của biểu thức T.
Đây là những thách thức đáng giá dành cho các em học sinh lớp 12 tham gia kỳ thi học sinh giỏi Toán cấp thành phố. Chúc các em học tốt và đạt kết quả cao trong kỳ thi sắp tới!