Đề thi học sinh giỏi thành phố lớp 12 môn Toán năm 2022 2023 sở GD ĐT Hà Nội

  • Đề HSG Toán 12

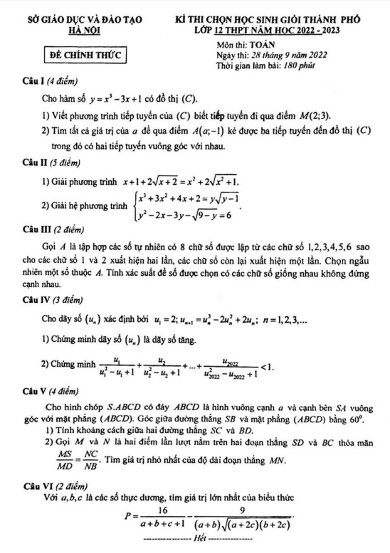
Đề thi học sinh giỏi Toán lớp 12 thành phố Hà Nội năm 2022-2023

Sytu xin gửi đến quý thầy cô và các em học sinh lớp 12 bộ đề thi chọn học sinh giỏi lớp 12 môn Toán năm học 2022-2023 của sở Giáo dục và Đào tạo thành phố Hà Nội. Kỳ thi sẽ diễn ra vào ngày 28 tháng 09 năm 2022. Dưới đây là một số câu hỏi trong đề thi:

1. Cho hàm số y = x^3 – 3x + 1 có đồ thị (C). Hãy viết phương trình tiếp tuyến của (C) biết tiếp tuyến đi qua điểm M(2;3). Tìm tất cả giá trị của a để qua điểm A(a;-1) có thể kẻ được ba tiếp tuyến đến đồ thị (C) trong đó có hai tiếp tuyến vuông góc với nhau.

2. Gọi A là tập hợp các số tự nhiên có 8 chữ số được lập từ các chữ số 1, 2, 3, 4, 5, 6 sao cho mỗi số đều có hai chữ số 1 và 2, và các chữ số còn lại xuất hiện một lần. Chọn ngẫu nhiên một số trong tập A. Tính xác suất để số được chọn có các chữ số giống nhau nhưng không đứng cạnh nhau.

3. Cho hình chóp S.ABCD có đáy ABCD là hình vuông cạnh a và cạnh bên SA vuông góc với mặt phẳng (ABCD). Góc giữa đường thẳng SB và mặt phẳng (ABCD) là 60°. Tính khoảng cách giữa hai đường thẳng SC và BD. Gọi M và N là hai điểm trên đoạn thẳng SD và BC tương ứng sao cho MS/MD = NC/NB. Tìm giá trị nhỏ nhất của đoạn thẳng MN.

Hy vọng rằng các em sẽ tự tin và thành công trong kỳ thi sắp tới!

Đánh giá bài viết cho thầy/cô vui 

0 / 5 0

Your page rank:

Avatar of Phan Quang
       

Về tác giả : Phan Quang

Giáo viên Toán học xuất sắc, sinh năm 1985 tại Hà Nội. Tốt nghiệp Đại học Sư phạm Hà Nội với bằng cử nhân Toán học, thầy có hơn 10 năm kinh nghiệm giảng dạy cấp 2 và ôn thi vào 10. Năm 2024, thầy sáng lập website daygioi.com – nền tảng giáo dục trực tuyến miễn phí, cung cấp bài giảng video, bài tập tương tác và tài liệu ôn tập cho hàng ngàn học sinh Việt Nam. Với phong cách dạy gần gũi, sáng tạo, thầy luôn khơi dậy niềm đam mê Toán học qua ví dụ đời thường. Được phụ huynh và học sinh yêu mến, thầy là nguồn cảm hứng cho thế hệ giáo viên trẻ.

       

Xem nhiều bài của tác giả : Phan Quang