Đề thi học sinh giỏi lớp 9 môn Toán năm 2022 2023 phòng GD ĐT Thái Hòa Nghệ An

  • Đề HSG Toán 9

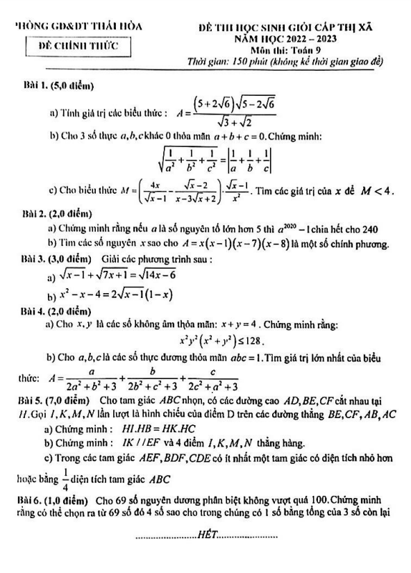
Đề thi học sinh giỏi Toán lớp 9 năm 2022-2023

Sytu xin gửi đến quý thầy cô và các em học sinh lớp 9 đề thi chọn học sinh giỏi môn Toán lớp 9 cấp thị xã năm học 2022-2023 do phòng Giáo dục và Đào tạo Thái Hòa, tỉnh Nghệ An tổ chức.

Dưới đây là một số bài toán trong đề thi:

  1. Cho a, b, c là các số thực dương thỏa mãn abc = 1. Hãy tìm giá trị lớn nhất của biểu thức A.

  2. Cho tam giác ABC nhọn, có các đường cao AD, BE, CF cắt nhau tại H. Gọi I, K, M, N lần lượt là hình chiếu của điểm D trên các đường thẳng BE, CF, AB, AC.

    • a) Chứng minh: HI.HB = HK.HC.
    • b) Chứng minh: IK // EF và bốn điểm I, K, M, N thẳng hàng.
    • c) Trong các tam giác AEF, BDF, CDE có ít nhất một tam giác có diện tích nhỏ hơn hoặc bằng 1/4 diện tích tam giác ABC.
  3. Cho 69 số nguyên dương phân biệt không vượt quá 100. Chứng minh rằng có thể chọn ra từ 69 số đó 4 số sao cho trong chúng có 1 số bằng tổng của 3 số còn lại.

Đề thi năm nay đầy thách thức và bổ ích, hy vọng các em học sinh sẽ tự tin và tỏa sáng trong kỳ thi sắp tới.

Đánh giá bài viết cho thầy/cô vui 

0 / 5 0

Your page rank:

Avatar of Phan Quang
       

Về tác giả : Phan Quang

Giáo viên Toán học xuất sắc, sinh năm 1985 tại Hà Nội. Tốt nghiệp Đại học Sư phạm Hà Nội với bằng cử nhân Toán học, thầy có hơn 10 năm kinh nghiệm giảng dạy cấp 2 và ôn thi vào 10. Năm 2024, thầy sáng lập website daygioi.com – nền tảng giáo dục trực tuyến miễn phí, cung cấp bài giảng video, bài tập tương tác và tài liệu ôn tập cho hàng ngàn học sinh Việt Nam. Với phong cách dạy gần gũi, sáng tạo, thầy luôn khơi dậy niềm đam mê Toán học qua ví dụ đời thường. Được phụ huynh và học sinh yêu mến, thầy là nguồn cảm hứng cho thế hệ giáo viên trẻ.

       

Xem nhiều bài của tác giả : Phan Quang