Đề thi học sinh giỏi lớp 6 môn Toán năm 2020 2021 trường THCS Anh Sơn Nghệ An

  • Đề HSG Toán 6

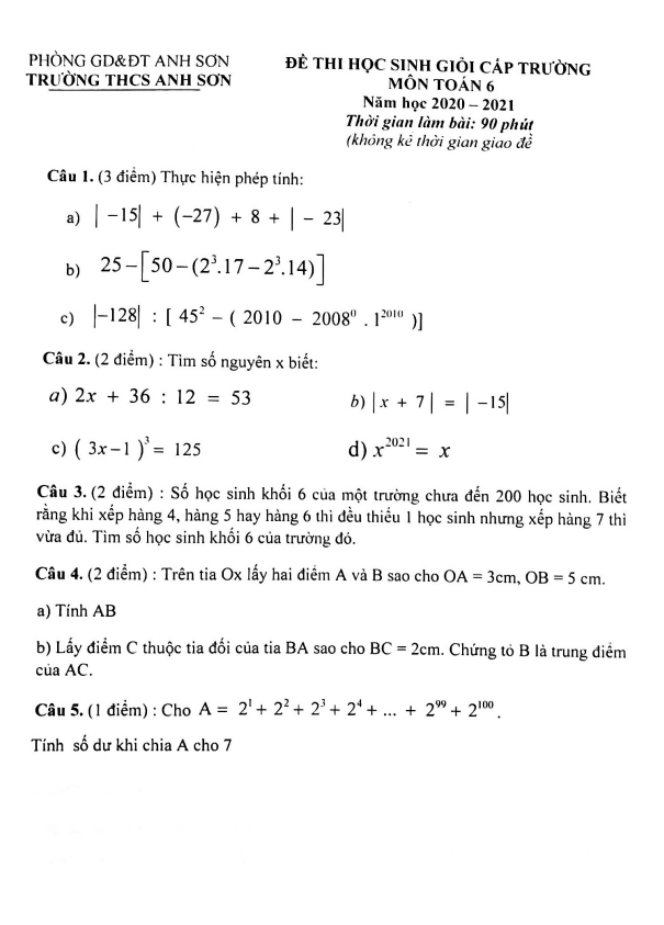
Đề thi học sinh giỏi Toán lớp 6 trường THCS Anh Sơn Nghệ An

Sytu xin giới thiệu đến các thầy cô và các em học sinh lớp 6 đề thi học sinh giỏi môn Toán năm 2020 – 2021 tại trường THCS Anh Sơn, Nghệ An. Đề thi này được biên soạn nhằm hỗ trợ các em trong việc ôn tập và chuẩn bị cho kỳ thi HSG Toán lớp 6 sắp tới. Đề thi sẽ cung cấp cơ hội cho các em rèn luyện kỹ năng giải quyết vấn đề, tư duy logic và sẽ giúp các em tự tin hơn khi tham gia kỳ thi.

Đánh giá bài viết cho thầy/cô vui 

0 / 5 0

Your page rank:

Avatar of Phan Quang
       

Về tác giả : Phan Quang

Giáo viên Toán học xuất sắc, sinh năm 1985 tại Hà Nội. Tốt nghiệp Đại học Sư phạm Hà Nội với bằng cử nhân Toán học, thầy có hơn 10 năm kinh nghiệm giảng dạy cấp 2 và ôn thi vào 10. Năm 2024, thầy sáng lập website daygioi.com – nền tảng giáo dục trực tuyến miễn phí, cung cấp bài giảng video, bài tập tương tác và tài liệu ôn tập cho hàng ngàn học sinh Việt Nam. Với phong cách dạy gần gũi, sáng tạo, thầy luôn khơi dậy niềm đam mê Toán học qua ví dụ đời thường. Được phụ huynh và học sinh yêu mến, thầy là nguồn cảm hứng cho thế hệ giáo viên trẻ.

       

Xem nhiều bài của tác giả : Phan Quang