Đề thi học sinh giỏi lớp 12 môn Toán năm 2020 2021 sở GD ĐT Quảng Trị

  • Đề HSG Toán 12

Đề thi học sinh giỏi Toán lớp 12 năm 2020 – 2021 sở GD&ĐT Quảng Trị

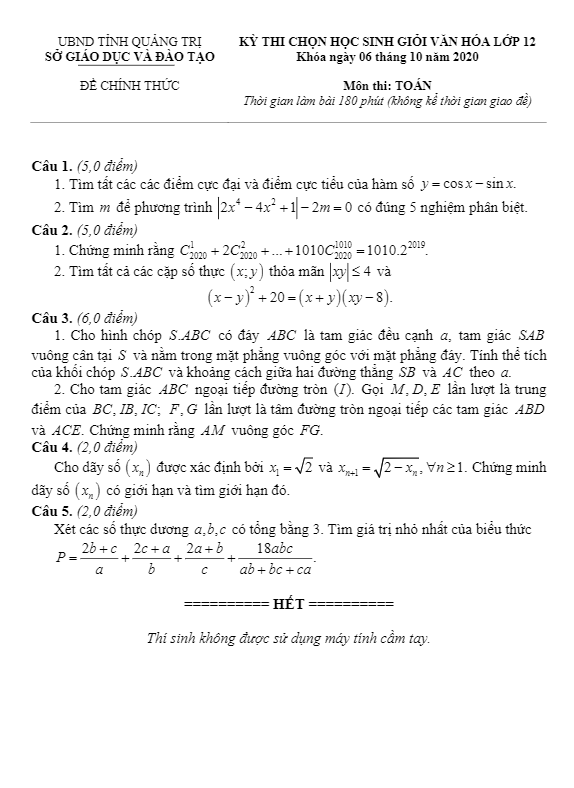
Ngày thứ Ba, 06 tháng 10 năm 2020, Sở Giáo dục và Đào tạo tỉnh Quảng Trị đã tổ chức kỳ thi chọn học sinh giỏi văn hóa lớp 12 THPT môn Toán cho năm học 2020 – 2021. Đề thi bao gồm 01 trang với 05 bài toán dạng tự luận, và thời gian làm bài là 180 phút.

Trích dẫn một số câu hỏi từ đề thi:

  1. Cho hình chóp S.ABC có đáy ABC là tam giác đều cạnh bằng a, tam giác SAB vuông cân tại S và nằm trong mặt phẳng vuông góc với mặt phẳng đáy. Yêu cầu tính thể tích của khối chóp S.ABC và khoảng cách giữa hai đường thẳng SB và AC theo a.
  2. Cho tam giác ABC ngoại tiếp đường tròn (I). Gọi M, D, E lần lượt là trung điểm của BC, IB, IC; F, G lần lượt là tâm đường tròn ngoại tiếp các tam giác ABD và ACE. Hãy chứng minh AM vuông góc FG.
  3. Cho dãy số (xn) được xác định bởi x1 = √2 và x_n+1 = √(2 – xn) với mọi n >= 1. Hãy chứng minh rằng dãy số (xn) có giới hạn hữu hạn và tìm giới hạn đó.

Đề thi học sinh giỏi Toán lớp 12 năm 2020 – 2021 sở GD&ĐT Quảng Trị mang đến những bài toán thú vị và đòi hỏi học sinh phải tư duy logic, sáng tạo để giải quyết. Đây là cơ hội tuyệt vời để các em học sinh thể hiện khả năng và kiến thức của mình trong môn Toán.

Đánh giá bài viết cho thầy/cô vui 

0 / 5 0

Your page rank:

Avatar of Phan Quang
       

Về tác giả : Phan Quang

Giáo viên Toán học xuất sắc, sinh năm 1985 tại Hà Nội. Tốt nghiệp Đại học Sư phạm Hà Nội với bằng cử nhân Toán học, thầy có hơn 10 năm kinh nghiệm giảng dạy cấp 2 và ôn thi vào 10. Năm 2024, thầy sáng lập website daygioi.com – nền tảng giáo dục trực tuyến miễn phí, cung cấp bài giảng video, bài tập tương tác và tài liệu ôn tập cho hàng ngàn học sinh Việt Nam. Với phong cách dạy gần gũi, sáng tạo, thầy luôn khơi dậy niềm đam mê Toán học qua ví dụ đời thường. Được phụ huynh và học sinh yêu mến, thầy là nguồn cảm hứng cho thế hệ giáo viên trẻ.

       

Xem nhiều bài của tác giả : Phan Quang