-
Đề HSG Toán 12
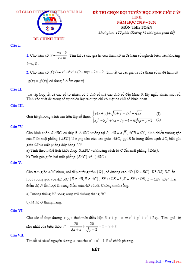
Đề thi học sinh giỏi Toán lớp 12 cấp tỉnh năm 2019-2020 sở GD&ĐT Yên Bái
Vào ngày … tháng 10 năm 2019, Sở Giáo dục và Đào tạo tỉnh Yên Bái đã tổ chức kỳ thi chọn đội tuyển học sinh giỏi cấp tỉnh môn Toán lớp 12 năm học 2019-2020. Đề thi bao gồm 07 bài toán dạng tự luận, với lời giải chi tiết được cung cấp.
Trong đề thi, có một bài toán đặc biệt khó khi yêu cầu giải phải có kiến thức sâu rộng và khả năng suy luận tốt. Ví dụ, một trong các bài toán đưa ra như sau:
“Cho hình chóp S.ABC có đáy là tam giác ABC vuông tại B, AB = a√3, ACB = 60 độ, hình chiếu vuông góc của S lên mặt phẳng (ABC) là trọng tâm của tam giác ABC, gọi E là trung điểm cạnh AC, biết góc giữa SE và mặt phẳng đáy bằng 30 độ. a) Tính theo a thể tích khối chóp S.ABC và khoảng cách từ C đến mặt phẳng (SAB). b) Tính góc giữa hai mặt phẳng (SAC) và (ABC).”
Bài toán trên đòi hỏi kiến thức về hình học không gian kết hợp với khả năng phân tích và suy luận logic.
Các bài toán khác trong đề thi cũng không kém phần thú vị và đa dạng, từ việc chứng minh các mệnh đề đến tìm xác suất, hay giải các phương trình hàm số. Thử thách đối với các thí sinh không chỉ là việc áp dụng kiến thức mà còn là khả năng tư duy logic và sáng tạo.
Đề thi học sinh giỏi Toán lớp 12 cấp tỉnh năm 2019-2020 sở GD&ĐT Yên Bái là cơ hội để các học sinh thử sức và phát triển năng lực Toán học của mình, cũng như cơ hội để khám phá và học hỏi từ những bài toán thú vị và phức tạp.