Đề thi học sinh giỏi lớp 11 môn Toán năm 2021 2022 cụm trường THPT Hà Nội

  • Đề HSG Toán 11

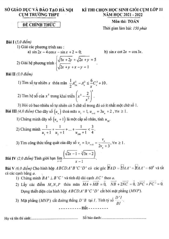
Đề thi học sinh giỏi Toán lớp 11 cụm trường THPT Hà Nội

Sytu xin kính chào quý thầy cô và các em học sinh lớp 11. Chúng tôi xin giới thiệu đến quý vị đề thi chọn học sinh giỏi cấp cụm môn Toán lớp 11 năm học 2021 – 2022 của cụm trường THPT trực thuộc sở Giáo dục và Đào tạo Hà Nội. Đề thi này là cơ hội lớn cho các em thể hiện khả năng, kiến thức và sự sáng tạo của mình trong môn Toán. Hy vọng rằng đề thi sẽ giúp các em hoàn thiện kỹ năng, nắm vững kiến thức và có cơ hội đạt thành tích cao trong học tập. Chúc các em thi tốt!

Đánh giá bài viết cho thầy/cô vui 

0 / 5 0

Your page rank:

Avatar of Phan Quang
       

Về tác giả : Phan Quang

Giáo viên Toán học xuất sắc, sinh năm 1985 tại Hà Nội. Tốt nghiệp Đại học Sư phạm Hà Nội với bằng cử nhân Toán học, thầy có hơn 10 năm kinh nghiệm giảng dạy cấp 2 và ôn thi vào 10. Năm 2024, thầy sáng lập website daygioi.com – nền tảng giáo dục trực tuyến miễn phí, cung cấp bài giảng video, bài tập tương tác và tài liệu ôn tập cho hàng ngàn học sinh Việt Nam. Với phong cách dạy gần gũi, sáng tạo, thầy luôn khơi dậy niềm đam mê Toán học qua ví dụ đời thường. Được phụ huynh và học sinh yêu mến, thầy là nguồn cảm hứng cho thế hệ giáo viên trẻ.

       

Xem nhiều bài của tác giả : Phan Quang