Đề thi học kì 2 (HK2) lớp 12 môn Toán năm học 2017 2018 trường THPT Đa Phúc Hà Nội

  • Đề HK2 Toán 12

Đề thi học kì 2 Toán lớp 12 năm học 2017 – 2018 trường THPT Đa Phúc – Hà Nội

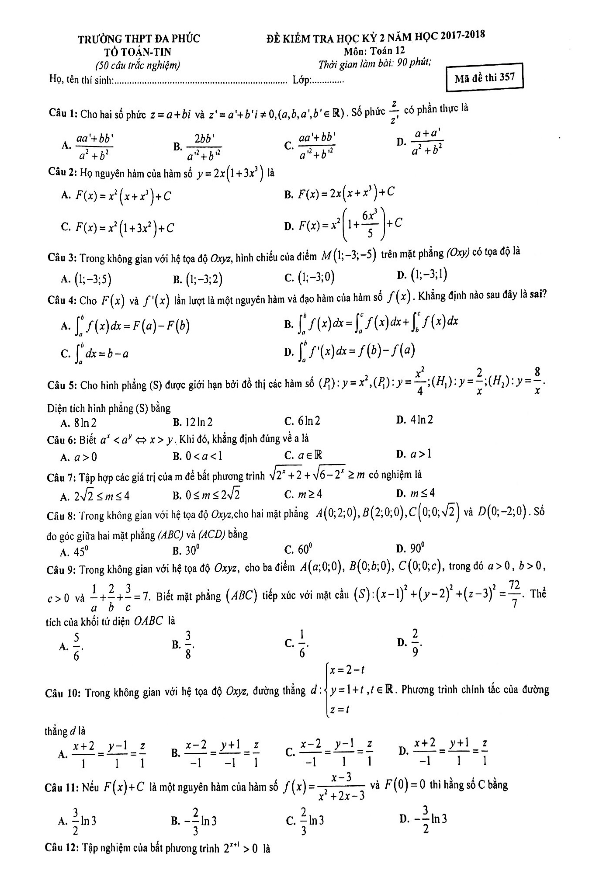
Đề thi học kỳ 2 Toán lớp 12 năm học 2017 – 2018 trường THPT Đa Phúc – Hà Nội mã đề 357 là đề thi bao gồm 4 trang với tổng cộng 50 câu hỏi trắc nghiệm khách quan. Mỗi câu hỏi đều có 4 phương án trả lời để học sinh lựa chọn. Thời gian làm bài cho kỳ thi này là 90 phút và diễn ra vào sáng 19/04/2018.

Nội dung của đề thi xoay quanh 3 chương chính: nguyên hàm – tích phân và ứng dụng, số phức, Phương pháp tọa độ trong không gian Oxyz. Đây là những chủ đề quan trọng và cơ bản trong chương trình Toán lớp 12, giúp học sinh ôn tập và kiểm tra kiến thức của mình sau một kỳ học.

Đánh giá bài viết cho thầy/cô vui 

0 / 5 0

Your page rank:

Avatar of Phan Quang
       

Về tác giả : Phan Quang

Giáo viên Toán học xuất sắc, sinh năm 1985 tại Hà Nội. Tốt nghiệp Đại học Sư phạm Hà Nội với bằng cử nhân Toán học, thầy có hơn 10 năm kinh nghiệm giảng dạy cấp 2 và ôn thi vào 10. Năm 2024, thầy sáng lập website daygioi.com – nền tảng giáo dục trực tuyến miễn phí, cung cấp bài giảng video, bài tập tương tác và tài liệu ôn tập cho hàng ngàn học sinh Việt Nam. Với phong cách dạy gần gũi, sáng tạo, thầy luôn khơi dậy niềm đam mê Toán học qua ví dụ đời thường. Được phụ huynh và học sinh yêu mến, thầy là nguồn cảm hứng cho thế hệ giáo viên trẻ.

       

Xem nhiều bài của tác giả : Phan Quang