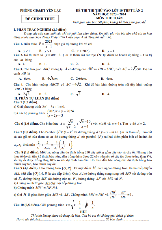
Đề thi học kì 2 (HK2) lớp 12 môn Toán năm 2020 2021 trường THPT Thủ Đức TP Hồ Chí Minh

  • Đề HK2 Toán 12

Đề thi học kì 2 (HK2) lớp 12 môn Toán năm 2020 2021 trường THPT Thủ Đức TP Hồ Chí Minh

Đề thi học kì 2 môn Toán lớp 12 năm học 2020-2021 của trường THPT Thủ Đức, thành phố Hồ Chí Minh mang mã đề 302 và bao gồm 05 trang. Đề thi được tổ chức theo hình thức 70% trắc nghiệm và 30% tự luận, thời gian làm bài được dành 90 phút.

Đánh giá bài viết cho thầy/cô vui 

0 / 5 0

Your page rank:

Avatar of Phan Quang
       

Về tác giả : Phan Quang

Giáo viên Toán học xuất sắc, sinh năm 1985 tại Hà Nội. Tốt nghiệp Đại học Sư phạm Hà Nội với bằng cử nhân Toán học, thầy có hơn 10 năm kinh nghiệm giảng dạy cấp 2 và ôn thi vào 10. Năm 2024, thầy sáng lập website daygioi.com – nền tảng giáo dục trực tuyến miễn phí, cung cấp bài giảng video, bài tập tương tác và tài liệu ôn tập cho hàng ngàn học sinh Việt Nam. Với phong cách dạy gần gũi, sáng tạo, thầy luôn khơi dậy niềm đam mê Toán học qua ví dụ đời thường. Được phụ huynh và học sinh yêu mến, thầy là nguồn cảm hứng cho thế hệ giáo viên trẻ.

       

Xem nhiều bài của tác giả : Phan Quang