Đề thi học kì 2 (HK2) lớp 11 môn Toán năm 2019 2020 trường THPT Trần Khai Nguyên TP HCM

  • Đề HK2 Toán 11

Đề thi học kì 2 (HK2) lớp 11 môn Toán năm 2019 2020 trường THPT Trần Khai Nguyên TP HCM

Để giúp các em học sinh lớp 11 chuẩn bị cho đợt kiểm tra cuối học kỳ 2 môn Toán sắp tới, Sytu xin giới thiệu đến đề thi học kì 2 Toán lớp 11 năm học 2019 – 2020 của trường THPT Trần Khai Nguyên, TP Hồ Chí Minh. Đề thi bao gồm đáp án, lời giải chi tiết và hướng dẫn chấm điểm.

Trích dẫn đề thi học kì 2 Toán lớp 11 năm 2019 – 2020 trường THPT Trần Khai Nguyên:

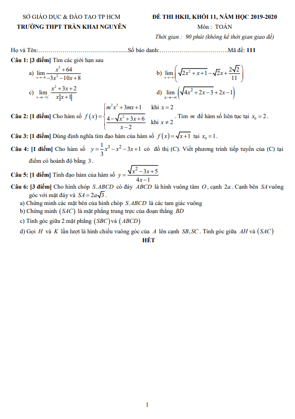
  • Cho hàm số y = 1/3.x3 – x2 – 3x + 1 có đồ thị (C). Hãy viết phương trình tiếp tuyến của (C) tại điểm có hoành độ bằng 3.
  • Dùng định nghĩa tìm đạo hàm của hàm số f(x) = √(x + 1) tại x0 = 1.
  • Cho hình chóp S.ABCD có đáy ABCD là hình vuông tâm O, cạnh 2a. Cạnh bên SA vuông góc với mặt đáy và SA = 2a√3.
    • Chứng minh các mặt bên của hình chóp S.ABCD là các tam giác vuông.
    • Chứng minh (SAC) là mặt phẳng trung trực của đoạn thẳng BD.
    • Tính góc giữa hai mặt phẳng (SBC) và (ABCD).
    • Gọi H và K lần lượt là hình chiếu vuông góc của A lên cạnh SB, SC. Tính góc giữa AH và (SAC).

Bằng cách tiếp cận từng bài toán một, đề thi này sẽ giúp các em ôn tập và nắm vững kiến thức, kỹ năng cần thiết để đạt kết quả tốt trong kỳ thi sắp tới.

Đánh giá bài viết cho thầy/cô vui 

0 / 5 0

Your page rank:

Avatar of Phan Quang
       

Về tác giả : Phan Quang

Giáo viên Toán học xuất sắc, sinh năm 1985 tại Hà Nội. Tốt nghiệp Đại học Sư phạm Hà Nội với bằng cử nhân Toán học, thầy có hơn 10 năm kinh nghiệm giảng dạy cấp 2 và ôn thi vào 10. Năm 2024, thầy sáng lập website daygioi.com – nền tảng giáo dục trực tuyến miễn phí, cung cấp bài giảng video, bài tập tương tác và tài liệu ôn tập cho hàng ngàn học sinh Việt Nam. Với phong cách dạy gần gũi, sáng tạo, thầy luôn khơi dậy niềm đam mê Toán học qua ví dụ đời thường. Được phụ huynh và học sinh yêu mến, thầy là nguồn cảm hứng cho thế hệ giáo viên trẻ.

       

Xem nhiều bài của tác giả : Phan Quang