Đề thi học kì 2 (HK2) lớp 11 môn Toán năm 2019 2020 trường THPT Bắc Duyên Hà Thái Bình

  • Đề HK2 Toán 11

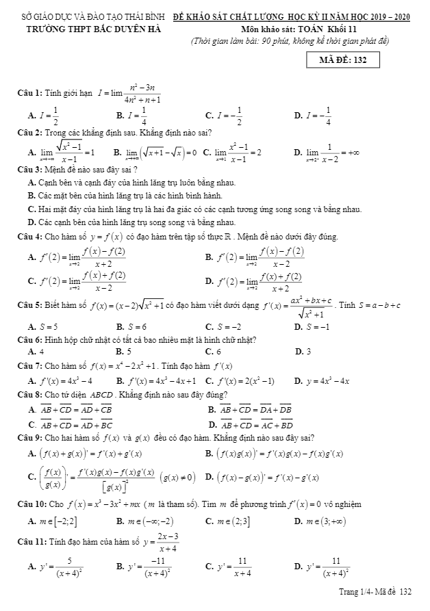
Ngày … tháng 06 năm 2020, trường THPT Bắc Duyên Hà, huyện Hưng Hà, tỉnh Thái Bình đã tổ chức kỳ thi khảo sát chất lượng học kỳ 2 môn Toán lớp 11 năm học 2019 – 2020. Đề thi khảo sát này được mã đề là 132, bao gồm 04 trang với tổng cộng 50 câu hỏi trắc nghiệm. Thời gian làm bài cho học sinh là 90 phút, và đề thi đi kèm với đáp án để học sinh có thể kiểm tra và đánh giá kết quả của mình.Một số câu hỏi trong đề thi HK2 Toán lớp 11 năm 2019 – 2020 trường THPT Bắc Duyên Hà – Thái Bình bao gồm:- Cho hình chóp S.ABC có các cạnh SA = SB = SC. Gọi H là hình chiếu vuông góc của S trên mặt phẳng (ABC). Học sinh cần phải xác định khẳng định đúng về vị trí của điểm H trong tam giác ABC.- Một mệnh đề sai trong số các câu hỏi hỏi về tính chất của hình lăng trụ.- Phương trình x^5 + 3x^3 – 2 = 0 được đưa ra và học sinh cần phải chọn đúng khoảng mà nghiệm của phương trình này thuộc vào.Đề thi HK2 môn Toán lớp 11 năm 2019 – 2020 trường THPT Bắc Duyên Hà – Thái Bình không chỉ đánh giá kiến thức mà còn khuyến khích học sinh tư duy logic, sáng tạo và khả năng giải quyết vấn đề. Đây là cơ hội để học sinh thể hiện và phát huy kiến thức và kỹ năng học tập một cách toàn diện.

Đánh giá bài viết cho thầy/cô vui 

0 / 5 0

Your page rank:

Avatar of Phan Quang
       

Về tác giả : Phan Quang

Giáo viên Toán học xuất sắc, sinh năm 1985 tại Hà Nội. Tốt nghiệp Đại học Sư phạm Hà Nội với bằng cử nhân Toán học, thầy có hơn 10 năm kinh nghiệm giảng dạy cấp 2 và ôn thi vào 10. Năm 2024, thầy sáng lập website daygioi.com – nền tảng giáo dục trực tuyến miễn phí, cung cấp bài giảng video, bài tập tương tác và tài liệu ôn tập cho hàng ngàn học sinh Việt Nam. Với phong cách dạy gần gũi, sáng tạo, thầy luôn khơi dậy niềm đam mê Toán học qua ví dụ đời thường. Được phụ huynh và học sinh yêu mến, thầy là nguồn cảm hứng cho thế hệ giáo viên trẻ.

       

Xem nhiều bài của tác giả : Phan Quang