Đề thi học kì 2 (HK2) lớp 10 môn Toán năm học 2016 2017 trường THPT Hòn Đất Kiên Giang

  • Đề HK2 Toán 10

Đề thi học kì 2 (HK2) lớp 10 môn Toán năm học 2016 – 2017 trường THPT Hòn Đất Kiên Giang

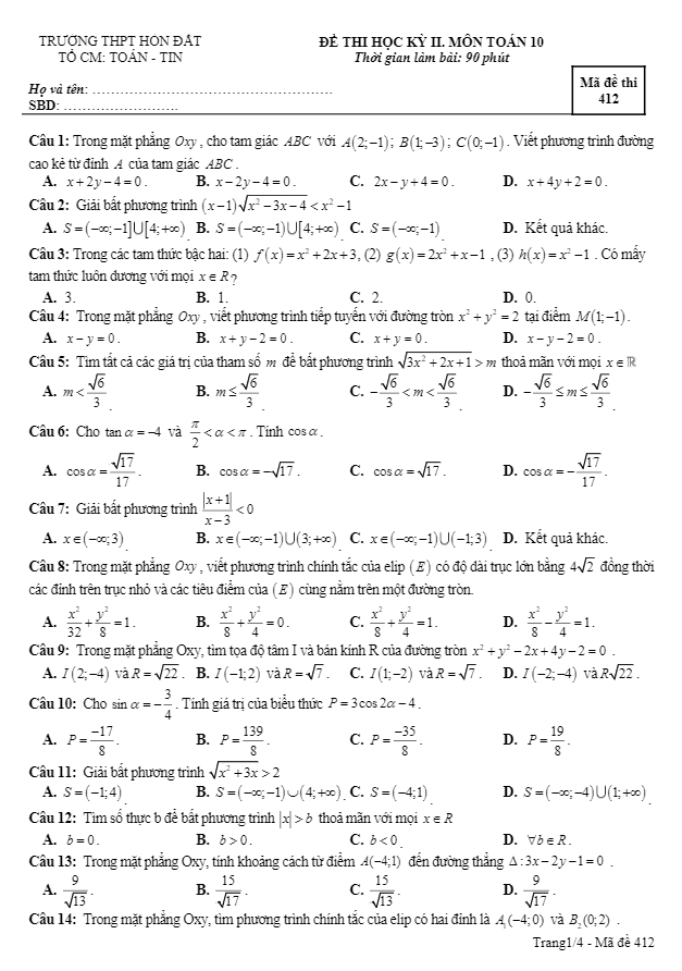
Đề thi học kì 2 (HK2) môn Toán lớp 10 năm học 2016 – 2017 tại trường THPT Hòn Đất, Kiên Giang, bao gồm 50 câu hỏi trắc nghiệm. Đây là một đề thi có nhiều bài toán thú vị và đòi hỏi học sinh phải có kiến thức vững về toán học để có thể giải quyết.

Một số bài toán trong đề bao gồm:

  • Trong mặt phẳng Oxy, viết phương trình chính tắc của elip (E) có độ dài trục lớn bằng 4 đồng thời các đỉnh trên trục nhỏ và các tiêu điểm của (E) cùng nằm trên một đường tròn.
  • Ta biết rằng Mặt Trăng chuyển động quanh Trái Đất theo một quỹ đạo là một elip mà Trái Đất là một tiêu điểm. Elip đó có chiều dài trục lớn và trục nhỏ lần lượt là 769 266 km và 768 106 km. Tính khoảng cách lớn nhất từ Trái Đất đến Mặt Trăng (làm tròn đến hàng đơn vị).

Đề thi này đòi hỏi học sinh phải áp dụng kiến thức học được để giải quyết các bài toán, từ đó củng cố và phát triển khả năng tư duy logic và sáng tạo của bản thân.

Đánh giá bài viết cho thầy/cô vui 

0 / 5 0

Your page rank:

Avatar of Phan Quang
       

Về tác giả : Phan Quang

Giáo viên Toán học xuất sắc, sinh năm 1985 tại Hà Nội. Tốt nghiệp Đại học Sư phạm Hà Nội với bằng cử nhân Toán học, thầy có hơn 10 năm kinh nghiệm giảng dạy cấp 2 và ôn thi vào 10. Năm 2024, thầy sáng lập website daygioi.com – nền tảng giáo dục trực tuyến miễn phí, cung cấp bài giảng video, bài tập tương tác và tài liệu ôn tập cho hàng ngàn học sinh Việt Nam. Với phong cách dạy gần gũi, sáng tạo, thầy luôn khơi dậy niềm đam mê Toán học qua ví dụ đời thường. Được phụ huynh và học sinh yêu mến, thầy là nguồn cảm hứng cho thế hệ giáo viên trẻ.

       

Xem nhiều bài của tác giả : Phan Quang