-
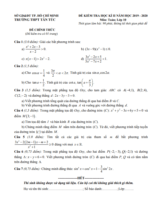
Đề HK2 Toán 10
Giới Thiệu Đề Thi Học Kì 2 Toán Lớp 10 năm 2019-2020 Trường THPT Tân Túc TP HCM
Sytu xin gửi đến các thầy cô giáo và các em học sinh lớp 10 Đề thi học kì 2 môn Toán năm học 2019-2020 tại trường THPT Tân Túc, thành phố Hồ Chí Minh. Đề thi này bao gồm đáp án và lời giải chi tiết, giúp các em tự tin tiếp cận và làm quen với cấu trúc đề thi. Các em có thể ôn tập và kiểm tra kiến thức của mình một cách hiệu quả nhất.