Đề thi học kì 1 (HK1) lớp 8 môn Toán năm 2019 2020 phòng GD ĐT Lập Thạch Vĩnh Phúc

  • Đề HK1 Toán 8

Đề thi học kỳ 1 (HK1) lớp 8 môn Toán năm 2019 2020 phòng GD ĐT Lập Thạch Vĩnh Phúc

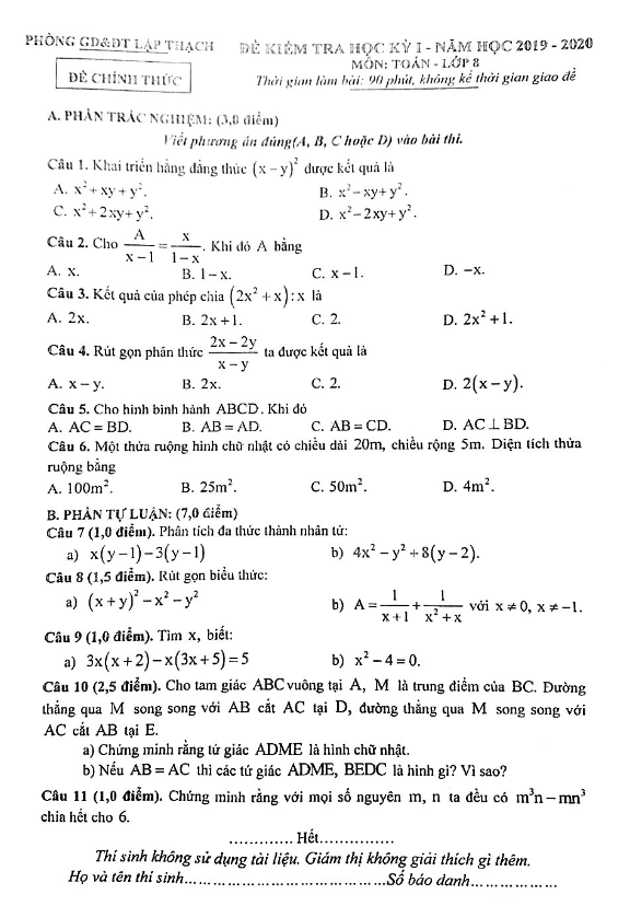
Vào thứ Tư ngày 11 tháng 12 năm 2019, phòng Giáo dục và Đào tạo huyện Lập Thạch, tỉnh Vĩnh Phúc đã tổ chức kỳ thi kiểm tra chất lượng môn Toán lớp 8 giai đoạn cuối học kỳ 1 năm học 2019 – 2020. Đề thi này được biên soạn theo dạng đề kết hợp giữa trắc nghiệm khách quan và tự luận, để giúp học sinh phát triển cả kỹ năng suy luận và tư duy logic.

Đề thi bao gồm 11 câu hỏi, trong đó có 06 câu trắc nghiệm và 05 câu tự luận. Phần trắc nghiệm chiếm 03 điểm, còn phần tự luận chiếm 07 điểm. Thời gian làm bài được quy định là 90 phút, đủ để học sinh có thời gian suy nghĩ và trả lời tất cả các câu hỏi một cách cẩn thận.

Dưới đây là một số câu hỏi mẫu trong đề thi:

+ Cho tam giác ABC vuông tại A, M là trung điểm của BC. Đường thẳng qua M song song với AB cắt AC tại D, đường thẳng qua M song song với AC cắt AB tại E. a) Chứng minh rằng tứ giác ADME là hình chữ nhật. b) Nếu AB = AC thì các tứ giác ADME, BEDC là hình gì? Vì sao?

+ Chứng minh rằng với mọi số nguyên m, n ta đều có m^3.n – m.n^3 chia hết cho 6.

+ Một thửa ruộng hình chữ nhật có chiều dài 20m, chiều rộng 5m. Diện tích thửa ruộng bằng?

Thông qua những câu hỏi này, học sinh được khuyến khích phát huy kỹ năng suy luận, tự giải quyết vấn đề và áp dụng kiến thức Toán vào thực tế. Đây là cơ hội để họ thể hiện khả năng và được đánh giá theo tiêu chí công bằng và khách quan.

Đánh giá bài viết cho thầy/cô vui 

0 / 5 0

Your page rank:

Avatar of Phan Quang
       

Về tác giả : Phan Quang

Giáo viên Toán học xuất sắc, sinh năm 1985 tại Hà Nội. Tốt nghiệp Đại học Sư phạm Hà Nội với bằng cử nhân Toán học, thầy có hơn 10 năm kinh nghiệm giảng dạy cấp 2 và ôn thi vào 10. Năm 2024, thầy sáng lập website daygioi.com – nền tảng giáo dục trực tuyến miễn phí, cung cấp bài giảng video, bài tập tương tác và tài liệu ôn tập cho hàng ngàn học sinh Việt Nam. Với phong cách dạy gần gũi, sáng tạo, thầy luôn khơi dậy niềm đam mê Toán học qua ví dụ đời thường. Được phụ huynh và học sinh yêu mến, thầy là nguồn cảm hứng cho thế hệ giáo viên trẻ.

       

Xem nhiều bài của tác giả : Phan Quang