Đề thi học kì 1 (HK1) lớp 7 môn Toán năm học 2017 2018 phòng GD và ĐT Vĩnh Bảo Hải Phòng

  • Đề HK1 Toán 7

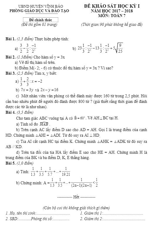
Đề thi học kì 1 (HK1) lớp 7 môn Toán năm học 2017 – 2018 phòng GD và ĐT Vĩnh Bảo Hải Phòng

Đề thi học kì 1 môn Toán lớp 7 năm học 2017 – 2018 của phòng GD và ĐT Vĩnh Bảo – Hải Phòng bao gồm 5 bài toán tự luận, thời gian làm bài 90 phút và có lời giải chi tiết. Dưới đây là một số câu hỏi mẫu trong đề thi:

1. Cho tam giác ABC vuông tại A có góc B = 60 độ. Vẽ AH ⊥ BC tại H. a) Tính số đo góc HAB. b) Chứng minh ∆AHI = ∆ADI và suy ra AI ⊥ HD. c) Chứng minh ∆AHK = ∆ADK và suy ra AB // KD. d) Chứng minh H là trung điểm của BK và ba điểm D, K, E thẳng hàng.

2. Một nhân viên văn phòng có thể đánh máy được 160 từ trong 2,5 phút. Hỏi cần bao nhiêu phút để người đó đánh được 800 từ?

3. Cho hàm số y = 3x. a) Vẽ đồ thị hàm số. b) Kiểm tra xem điểm M(- 2; -6) có thuộc đồ thị hàm số cho trước hay không và giải thích.

Đây là một số câu hỏi mẫu trong đề thi Toán học kì 1 lớp 7 năm học 2017 – 2018, giúp học sinh ôn tập và chuẩn bị tốt cho kì thi sắp tới.

Đánh giá bài viết cho thầy/cô vui 

0 / 5 0

Your page rank:

Avatar of Phan Quang
       

Về tác giả : Phan Quang

Giáo viên Toán học xuất sắc, sinh năm 1985 tại Hà Nội. Tốt nghiệp Đại học Sư phạm Hà Nội với bằng cử nhân Toán học, thầy có hơn 10 năm kinh nghiệm giảng dạy cấp 2 và ôn thi vào 10. Năm 2024, thầy sáng lập website daygioi.com – nền tảng giáo dục trực tuyến miễn phí, cung cấp bài giảng video, bài tập tương tác và tài liệu ôn tập cho hàng ngàn học sinh Việt Nam. Với phong cách dạy gần gũi, sáng tạo, thầy luôn khơi dậy niềm đam mê Toán học qua ví dụ đời thường. Được phụ huynh và học sinh yêu mến, thầy là nguồn cảm hứng cho thế hệ giáo viên trẻ.

       

Xem nhiều bài của tác giả : Phan Quang