Đề thi học kì 1 (HK1) lớp 7 môn Toán năm 2022 2023 trường THPT chuyên Hà Nội Amsterdam

  • Đề HK1 Toán 7

Đề thi học kì 1 (HK1) Toán lớp 7 năm 2022 – 2023 trường THPT chuyên Hà Nội Amsterdam

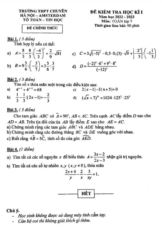
Sytu xin gửi đến quý thầy cô và các em học sinh lớp 7 đề thi cuối học kỳ 1 môn Toán năm học 2022 – 2023 tại trường THPT chuyên Hà Nội – Amsterdam. Đề thi này được biên soạn theo cấu trúc 100% tự luận, thời gian làm bài là 70 phút. Kỳ thi sẽ diễn ra vào sáng thứ Tư ngày 14 tháng 12 năm 2022.

Trích dẫn một số câu hỏi trong Đề thi học kỳ 1 Toán lớp 7 năm 2022 – 2023 trường THPT chuyên Hà Nội – Amsterdam:

1. Cho tam giác ABC có A = 90°, AB

2. Tìm tất cả các số nguyên x để biểu thức A nhận giá trị nguyên.
3. Tìm tất cả các số tự nhiên x và y (x; y ≠ 0) thỏa mãn…

Với nội dung đa dạng và phong phú, hy vọng đề thi sẽ giúp các em học sinh ôn tập và nắm vững kiến thức để tự tin làm bài trong kỳ thi sắp tới. Chúc các em thành công!

Đánh giá bài viết cho thầy/cô vui 

0 / 5 0

Your page rank:

Avatar of Phan Quang
       

Về tác giả : Phan Quang

Giáo viên Toán học xuất sắc, sinh năm 1985 tại Hà Nội. Tốt nghiệp Đại học Sư phạm Hà Nội với bằng cử nhân Toán học, thầy có hơn 10 năm kinh nghiệm giảng dạy cấp 2 và ôn thi vào 10. Năm 2024, thầy sáng lập website daygioi.com – nền tảng giáo dục trực tuyến miễn phí, cung cấp bài giảng video, bài tập tương tác và tài liệu ôn tập cho hàng ngàn học sinh Việt Nam. Với phong cách dạy gần gũi, sáng tạo, thầy luôn khơi dậy niềm đam mê Toán học qua ví dụ đời thường. Được phụ huynh và học sinh yêu mến, thầy là nguồn cảm hứng cho thế hệ giáo viên trẻ.

       

Xem nhiều bài của tác giả : Phan Quang