Đề thi học kì 1 (HK1) lớp 7 môn Toán năm 2021 2022 trường THCS Mai Lâm Hà Nội

  • Đề HK1 Toán 7

Đề thi học kì 1 Toán lớp 7 năm 2021 – 2022

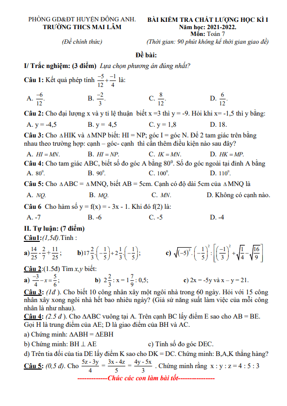
Đề thi học kì 1 Toán lớp 7 năm 2021 – 2022 trường THCS Mai Lâm – Hà Nội là bài thi quan trọng đánh giá kiến thức của học sinh sau một kỳ học đầu tiên. Đề thi bao gồm 06 câu trắc nghiệm và 05 câu tự luận, với phần trắc nghiệm chiếm 03 điểm và phần tự luận chiếm 07 điểm. Thời gian làm bài thi là 90 phút để học sinh có đủ thời gian suy nghĩ và làm bài một cách cẩn thận.

Trong đề thi, có các câu hỏi đa dạng về nhiều lĩnh vực khác nhau của môn Toán. Ví dụ, một trong những câu hỏi trong đề thi là: “Cho biết 10 công nhân xây một ngôi nhà trong 60 ngày. Hỏi với 15 công nhân xây xong ngôi nhà hết bao nhiêu ngày?”. Câu hỏi này giúp học sinh vận dụng kiến thức về tỷ lệ và tỉ lệ nghịch để giải quyết vấn đề thực tế.

Ngoài ra, đề thi còn có các câu hỏi về hình học, như câu hỏi về tam giác ABC vuông tại A. Học sinh cần phải chứng minh các bằng chứng, tính số đo góc và áp dụng kiến thức về trung điểm, đồng viên để giải quyết câu hỏi này.

Đề thi cũng đưa ra câu hỏi về các trường hợp cũng như yêu cầu thêm điều kiện để 2 tam giác trở nên bằng nhau, giúp học sinh rèn luyện khả năng suy luận logic và tư duy toán học.

Trong bài thi này, học sinh không chỉ cần hiểu và áp dụng kiến thức mà còn cần có khả năng suy luận, chứng minh và giải quyết vấn đề theo cách logic và khoa học. Đây là cơ hội để học sinh thể hiện kiến thức và kỹ năng đã học trong kỳ học vừa qua.

Đánh giá bài viết cho thầy/cô vui 

0 / 5 0

Your page rank:

Avatar of Phan Quang
       

Về tác giả : Phan Quang

Giáo viên Toán học xuất sắc, sinh năm 1985 tại Hà Nội. Tốt nghiệp Đại học Sư phạm Hà Nội với bằng cử nhân Toán học, thầy có hơn 10 năm kinh nghiệm giảng dạy cấp 2 và ôn thi vào 10. Năm 2024, thầy sáng lập website daygioi.com – nền tảng giáo dục trực tuyến miễn phí, cung cấp bài giảng video, bài tập tương tác và tài liệu ôn tập cho hàng ngàn học sinh Việt Nam. Với phong cách dạy gần gũi, sáng tạo, thầy luôn khơi dậy niềm đam mê Toán học qua ví dụ đời thường. Được phụ huynh và học sinh yêu mến, thầy là nguồn cảm hứng cho thế hệ giáo viên trẻ.

       

Xem nhiều bài của tác giả : Phan Quang