Đề thi học kì 1 (HK1) lớp 7 môn Toán năm 2020 2021 trường THCS Nguyễn Trãi Hà Nội

  • Đề HK1 Toán 7

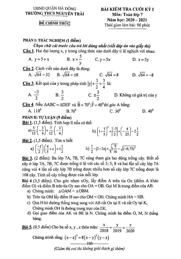
Đề thi học kỳ 1 môn Toán lớp 7 năm 2020-2021 trường THCS Nguyễn Trãi Hà Nội

Đề thi học kỳ 1 môn Toán lớp 7 năm 2020-2021 của trường THCS Nguyễn Trãi Hà Nội được thiết kế theo tỉ lệ 10% trắc nghiệm và 90% tự luận. Bài thi bao gồm 4 câu trắc nghiệm và 5 câu tự luận, thời gian làm bài là 90 phút.

Đề thi nêu rõ các yêu cầu sau:

  1. Hai đại lượng x, y trong công thức nào dưới đây tỉ lệ nghịch với nhau.
  2. Phân tích về số cây trồng của ba lớp 7A, 7B, 7C trong một hoạt động lao động trồng cây.
  3. Chứng minh các bước thực hiện trong vấn đề về tam giác OAM và tam giác OBM.
  4. Chứng minh rằng ba điểm O, M, N thẳng hàng.

Mục tiêu của đề thi là kiểm tra kiến thức về tỉ lệ nghịch, phân tích bài toán về tỉ lệ và tìm ra số lượng cây trồng được của mỗi lớp cũng như giới thiệu các kiến thức về tam giác và phép chứng minh tam giác đồng dạng.

Đánh giá bài viết cho thầy/cô vui 

0 / 5 0

Your page rank:

Avatar of Phan Quang
       

Về tác giả : Phan Quang

Giáo viên Toán học xuất sắc, sinh năm 1985 tại Hà Nội. Tốt nghiệp Đại học Sư phạm Hà Nội với bằng cử nhân Toán học, thầy có hơn 10 năm kinh nghiệm giảng dạy cấp 2 và ôn thi vào 10. Năm 2024, thầy sáng lập website daygioi.com – nền tảng giáo dục trực tuyến miễn phí, cung cấp bài giảng video, bài tập tương tác và tài liệu ôn tập cho hàng ngàn học sinh Việt Nam. Với phong cách dạy gần gũi, sáng tạo, thầy luôn khơi dậy niềm đam mê Toán học qua ví dụ đời thường. Được phụ huynh và học sinh yêu mến, thầy là nguồn cảm hứng cho thế hệ giáo viên trẻ.

       

Xem nhiều bài của tác giả : Phan Quang