Đề thi học kì 1 (HK1) lớp 7 môn Toán năm 2020 2021 trường THCS Nguyễn Công Trứ Hà Nội

  • Đề HK1 Toán 7

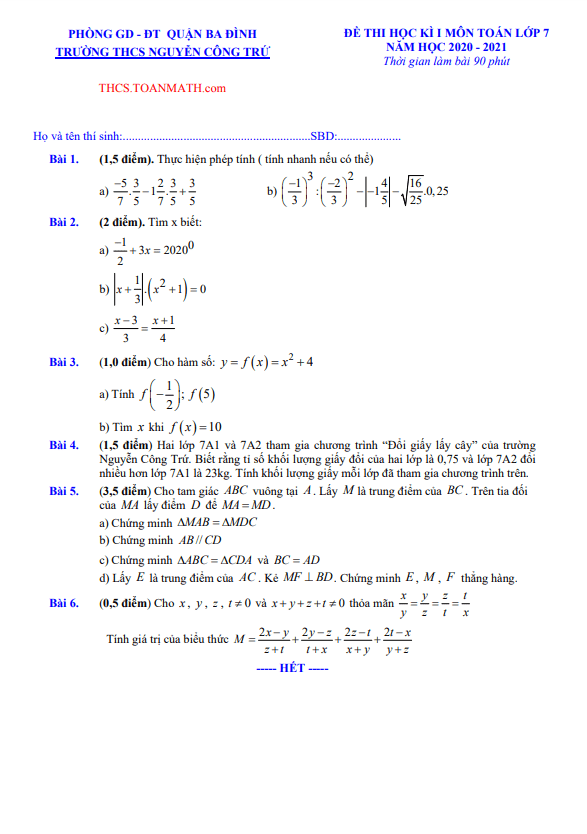
Đề thi học kì 1 Toán lớp 7 năm 2020 – 2021 trường THCS Nguyễn Công Trứ Hà Nội

Chúng ta sẽ cùng điểm qua một số câu hỏi trong đề thi học kì 1 Toán lớp 7 năm học 2020 – 2021 của trường THCS Nguyễn Công Trứ, quận Ba Đình, thành phố Hà Nội.

Bài toán 1: Hai lớp 7A1 và 7A2 tham gia chương trình “Đổi giấy lấy cây”. Biết rằng tỉ số khối lượng giấy đổi của hai lớp là 0,75 và lớp 7A2 đổi nhiều hơn lớp 7A1 là 23kg. Hỏi khối lượng giấy mỗi lớp đã tham gia chương trình?

Bài toán 2: Cho tam giác ABC vuông tại A. Lấy M là trung điểm của BC. Trên tia đối của MA lấy điểm D để MA = MD. Hãy chứng minh các điều sau: a) MAB = MDC b) AB = CD c) ABC = CDA và BC = AD d) E là trung điểm của AC. Kẻ MF || BD. Chứng minh E, M, F thẳng hàng.

Bài toán 3: Thực hiện phép tính (tính nhanh nếu có thể).

Với các câu hỏi này, các em học sinh lớp 7 cần áp dụng kiến thức Toán đã học để giải quyết. Chúc các em ôn tập hiệu quả và thành công trong kì thi học kì 1 sắp tới!

Đánh giá bài viết cho thầy/cô vui 

0 / 5 0

Your page rank:

Avatar of Phan Quang
       

Về tác giả : Phan Quang

Giáo viên Toán học xuất sắc, sinh năm 1985 tại Hà Nội. Tốt nghiệp Đại học Sư phạm Hà Nội với bằng cử nhân Toán học, thầy có hơn 10 năm kinh nghiệm giảng dạy cấp 2 và ôn thi vào 10. Năm 2024, thầy sáng lập website daygioi.com – nền tảng giáo dục trực tuyến miễn phí, cung cấp bài giảng video, bài tập tương tác và tài liệu ôn tập cho hàng ngàn học sinh Việt Nam. Với phong cách dạy gần gũi, sáng tạo, thầy luôn khơi dậy niềm đam mê Toán học qua ví dụ đời thường. Được phụ huynh và học sinh yêu mến, thầy là nguồn cảm hứng cho thế hệ giáo viên trẻ.

       

Xem nhiều bài của tác giả : Phan Quang