Đề thi học kì 1 (HK1) lớp 7 môn Toán năm 2020 2021 phòng GD ĐT Thái Thụy Thái Bình

  • Đề HK1 Toán 7

Đề thi học kì 1 (HK1) lớp 7 môn Toán năm 2020 2021 phòng GD ĐT Thái Thụy Thái Bình

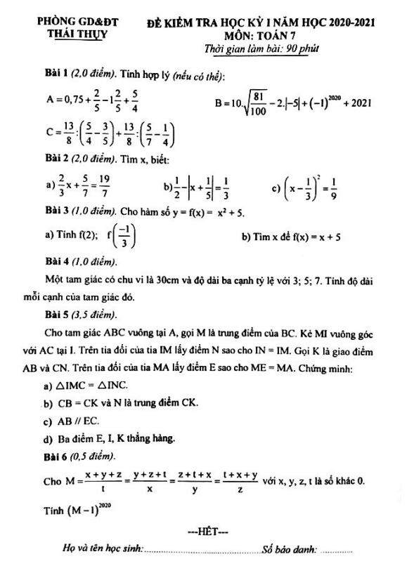
Xin gửi đến quý thầy cô và các em học sinh đề thi học kì 1 môn Toán lớp 7 năm học 2020 – 2021 của phòng Giáo dục và Đào tạo huyện Thái Thụy, tỉnh Thái Bình. Đề thi bao gồm một trang với 06 bài toán dạng tự luận, và thời gian làm bài là 90 phút.

Trích dẫn đề thi:

1. Cho hàm số y = f(x) = x^2 + 5.

a) Tính f(2) và f(-1/3).

b) Tìm x sao cho f(x) = x + 5.

2. Một tam giác có chu vi là 30cm và độ dài ba cạnh tỷ lệ với 3; 5; 7. Hãy tính độ dài của mỗi cạnh của tam giác đó.

3. Cho tam giác ABC vuông tại A, gọi M là trung điểm của BC. Kẻ MI vuông góc với AC tại I. Trên tia đối của tia IM, lấy điểm N sao cho IN = IM. Gọi K là giao điểm AB và CN. Trên tia đối của tia MA, lấy điểm E sao cho ME = MA. Chứng minh:

a) Tam giác IMC = tam giác INC.

b) CB = CK và N là trung điểm CK.

c) AB // EC.

d) Ba điểm E, I, K thẳng hàng.

Hy vọng đề thi sẽ giúp các em ôn tập và chuẩn bị tốt cho kì thi sắp tới. Chúc các em thành công!

Đánh giá bài viết cho thầy/cô vui 

0 / 5 0

Your page rank:

Avatar of Phan Quang
       

Về tác giả : Phan Quang

Giáo viên Toán học xuất sắc, sinh năm 1985 tại Hà Nội. Tốt nghiệp Đại học Sư phạm Hà Nội với bằng cử nhân Toán học, thầy có hơn 10 năm kinh nghiệm giảng dạy cấp 2 và ôn thi vào 10. Năm 2024, thầy sáng lập website daygioi.com – nền tảng giáo dục trực tuyến miễn phí, cung cấp bài giảng video, bài tập tương tác và tài liệu ôn tập cho hàng ngàn học sinh Việt Nam. Với phong cách dạy gần gũi, sáng tạo, thầy luôn khơi dậy niềm đam mê Toán học qua ví dụ đời thường. Được phụ huynh và học sinh yêu mến, thầy là nguồn cảm hứng cho thế hệ giáo viên trẻ.

       

Xem nhiều bài của tác giả : Phan Quang