Đề thi học kì 1 (HK1) lớp 6 môn Toán năm 2019 2020 phòng GD ĐT Bình Xuyên Vĩnh Phúc

  • Đề HK1 Toán 6

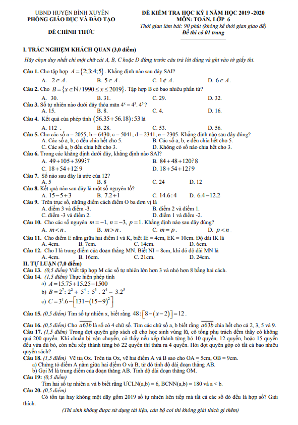
Nội dung về đề thi học kỳ 1 Toán lớp 6 năm 2019 – 2020 của phòng GD&ĐT Bình Xuyên – Vĩnh Phúc là một bài thi đa dạng và thú vị, bao gồm cả câu trắc nghiệm và tự luận. Đề thi có tổng cộng 12 câu trắc nghiệm (03 điểm) và 07 câu tự luận (07 điểm), học sinh sẽ được làm bài trong thời gian 90 phút.Một trong những câu hỏi trong đề thi là về việc quyên góp sách cũ cho học sinh vùng lũ. Câu hỏi yêu cầu học sinh tìm số lượng tổng cộng quyển sách trong đợt quyên góp. Học sinh sẽ phải sử dụng kiến thức về phép chia lấy dư để giải quyết bài toán này.Ngoài ra, đề thi cũng đưa ra câu hỏi về vẽ tia Ox và tính độ dài đoạn thẳng, giúp học sinh rèn luyện kỹ năng vẽ hình và tính toán chuẩn xác. Đề thi còn có câu hỏi về tính chất của số hợp số, mang tính logic và tư duy cao.Đề thi cung cấp đáp án cho các câu trắc nghiệm và lời giải chi tiết cho các câu tự luận, giúp học sinh hiểu rõ hơn về cách giải và tự kiểm tra kết quả của mình. Đây là một bài thi thách thức nhưng cũng rất hữu ích để học sinh rèn luyện kỹ năng và kiến thức Toán của mình.Trên cơ sở nội dung trên, đề thi học kỳ 1 Toán lớp 6 năm 2019 – 2020 của phòng GD&ĐT Bình Xuyên – Vĩnh Phúc đem lại nhiều cơ hội cho học sinh thể hiện khả năng và trình độ của mình trong môn Toán, giúp họ phát triển kiến thức và kỹ năng một cách toàn diện.

Đánh giá bài viết cho thầy/cô vui 

0 / 5 0

Your page rank:

Avatar of Phan Quang
       

Về tác giả : Phan Quang

Giáo viên Toán học xuất sắc, sinh năm 1985 tại Hà Nội. Tốt nghiệp Đại học Sư phạm Hà Nội với bằng cử nhân Toán học, thầy có hơn 10 năm kinh nghiệm giảng dạy cấp 2 và ôn thi vào 10. Năm 2024, thầy sáng lập website daygioi.com – nền tảng giáo dục trực tuyến miễn phí, cung cấp bài giảng video, bài tập tương tác và tài liệu ôn tập cho hàng ngàn học sinh Việt Nam. Với phong cách dạy gần gũi, sáng tạo, thầy luôn khơi dậy niềm đam mê Toán học qua ví dụ đời thường. Được phụ huynh và học sinh yêu mến, thầy là nguồn cảm hứng cho thế hệ giáo viên trẻ.

       

Xem nhiều bài của tác giả : Phan Quang