Đề thi học kì 1 (HK1) lớp 12 môn Toán năm học 2018 2019 sở GD và ĐT Đồng Nai

  • Đề HK1 Toán 12

Đề thi học kì 1 Toán lớp 12 năm học 2018-2019 sở GD và ĐT Đồng Nai

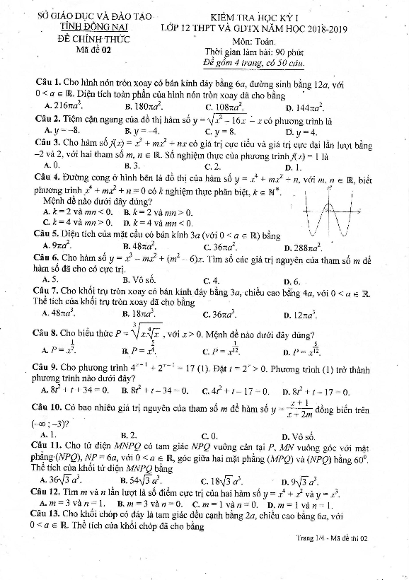
Sytu xin gửi đến quý thầy cô và các em học sinh lớp 12 nội dung của đề thi học kỳ 1 môn Toán lớp 12 năm học 2018-2019 do sở GD và ĐT Đồng Nai tổ chức. Kỳ thi này diễn ra vào sáng thứ Tư, ngày 19 tháng 12 năm 2018 và được thi cho các học sinh khối 12 THPT và GDTX. Đề thi có mã đề 04, bao gồm 4 trang với 50 câu trắc nghiệm khách quan. Thời gian làm bài là 90 phút.

1. Anh H mua một máy sản xuất trị giá 180.000.000 đồng theo phương thức trả góp. Anh ta sẽ trả hàng tháng 5.500.000 đồng và chịu lãi suất 0,5% mỗi tháng. Câu hỏi đặt ra là sau bao lâu anh H sẽ trả hết nợ.

2. Hình nón tròn xoay có đỉnh S, chiều cao 20a và đáy là hình tròn tâm I bán kính 25a. Mặt phẳng (P) đi qua S và cách tâm I 12a. Cần tính diện tích của thiết diện đã cho.

3. Hàm số y = x^4 + mx^2 + n có đồ thị như trong hình vẽ. Biết phương trình x^4 + mx^2 + n = 0 có k nghiệm thực phân biệt. Yêu cầu xác định giá trị của k và quan hệ giữa m và n.

Đánh giá bài viết cho thầy/cô vui 

0 / 5 0

Your page rank:

Avatar of Phan Quang
       

Về tác giả : Phan Quang

Giáo viên Toán học xuất sắc, sinh năm 1985 tại Hà Nội. Tốt nghiệp Đại học Sư phạm Hà Nội với bằng cử nhân Toán học, thầy có hơn 10 năm kinh nghiệm giảng dạy cấp 2 và ôn thi vào 10. Năm 2024, thầy sáng lập website daygioi.com – nền tảng giáo dục trực tuyến miễn phí, cung cấp bài giảng video, bài tập tương tác và tài liệu ôn tập cho hàng ngàn học sinh Việt Nam. Với phong cách dạy gần gũi, sáng tạo, thầy luôn khơi dậy niềm đam mê Toán học qua ví dụ đời thường. Được phụ huynh và học sinh yêu mến, thầy là nguồn cảm hứng cho thế hệ giáo viên trẻ.

       

Xem nhiều bài của tác giả : Phan Quang