Đề thi học kì 1 (HK1) lớp 12 môn Toán năm học 2017 2018 trường THPT Phan Ngọc Hiển Cà Mau

  • Đề HK1 Toán 12

Đề thi học kì 1 môn Toán lớp 12 trường THPT Phan Ngọc Hiển Cà Mau

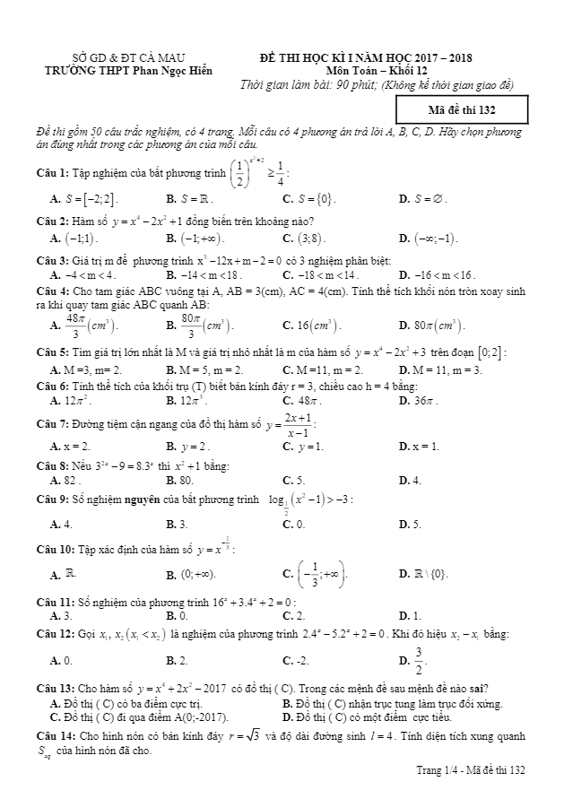
Đề thi học kì 1 môn Toán lớp 12 năm học 2017 – 2018 trường THPT Phan Ngọc Hiển – Cà Mau bao gồm 50 câu hỏi trắc nghiệm. Cấu trúc đề thi này tương tự như các đề thi khác, nhằm kiểm tra và đánh giá kiến thức của học sinh trong chương trình học Toán. Đề thi tập trung vào các kiến thức căn bản và nâng cao, đánh giá khả năng suy luận, giải quyết vấn đề của học sinh. Học sinh cần phải tự tin và sẵn sàng để đối mặt với thách thức từ đề thi này.

Đánh giá bài viết cho thầy/cô vui 

0 / 5 0

Your page rank:

Avatar of Phan Quang
       

Về tác giả : Phan Quang

Giáo viên Toán học xuất sắc, sinh năm 1985 tại Hà Nội. Tốt nghiệp Đại học Sư phạm Hà Nội với bằng cử nhân Toán học, thầy có hơn 10 năm kinh nghiệm giảng dạy cấp 2 và ôn thi vào 10. Năm 2024, thầy sáng lập website daygioi.com – nền tảng giáo dục trực tuyến miễn phí, cung cấp bài giảng video, bài tập tương tác và tài liệu ôn tập cho hàng ngàn học sinh Việt Nam. Với phong cách dạy gần gũi, sáng tạo, thầy luôn khơi dậy niềm đam mê Toán học qua ví dụ đời thường. Được phụ huynh và học sinh yêu mến, thầy là nguồn cảm hứng cho thế hệ giáo viên trẻ.

       

Xem nhiều bài của tác giả : Phan Quang