Đề thi học kì 1 (HK1) lớp 12 môn Toán năm học 2016 2017 trường Trần Đại Nghĩa TP.HCM

  • Đề HK1 Toán 12

Đề thi học kì 1 lớp 12 môn Toán năm học 2016 – 2017 trường Trần Đại Nghĩa TP.HCM

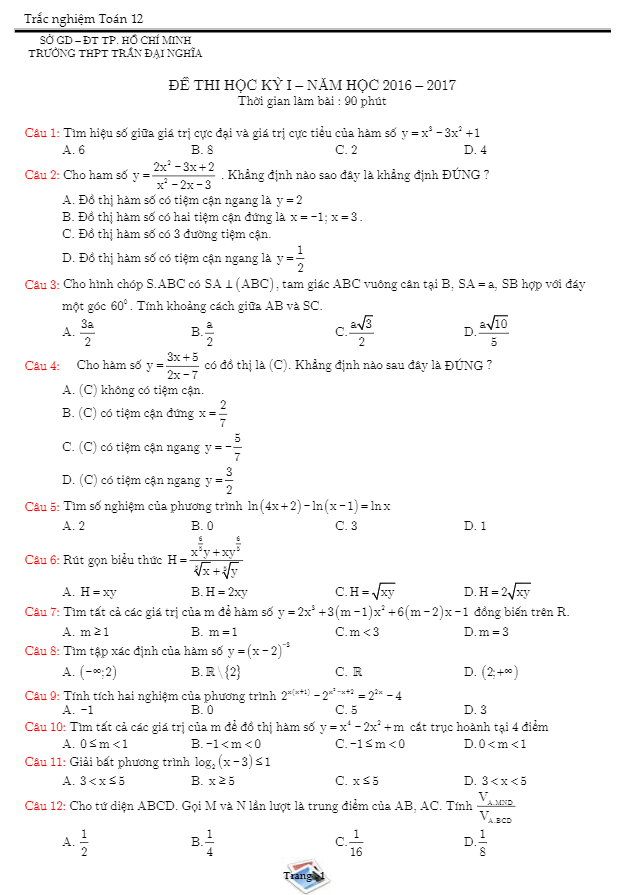
Đề thi học kì 1 môn Toán lớp 12 năm học 2016 – 2017 của trường Trần Đại Nghĩa TP.HCM bao gồm 4 trang với tổng cộng 50 câu hỏi trắc nghiệm khách quan. Đề thi này rất quan trọng đối với học sinh lớp 12, đánh giá kỹ năng và kiến thức của họ sau một chuỗi học tập đầu năm. Các câu hỏi được thiết kế để kiểm tra khả năng giải quyết vấn đề, logic suy luận và hiểu biết sâu rộng của học sinh về môn Toán. Hãy cùng cố gắng và học hỏi từ những câu hỏi này để có kết quả tốt nhất nhé!

Đánh giá bài viết cho thầy/cô vui 

0 / 5 0

Your page rank:

Avatar of Phan Quang
       

Về tác giả : Phan Quang

Giáo viên Toán học xuất sắc, sinh năm 1985 tại Hà Nội. Tốt nghiệp Đại học Sư phạm Hà Nội với bằng cử nhân Toán học, thầy có hơn 10 năm kinh nghiệm giảng dạy cấp 2 và ôn thi vào 10. Năm 2024, thầy sáng lập website daygioi.com – nền tảng giáo dục trực tuyến miễn phí, cung cấp bài giảng video, bài tập tương tác và tài liệu ôn tập cho hàng ngàn học sinh Việt Nam. Với phong cách dạy gần gũi, sáng tạo, thầy luôn khơi dậy niềm đam mê Toán học qua ví dụ đời thường. Được phụ huynh và học sinh yêu mến, thầy là nguồn cảm hứng cho thế hệ giáo viên trẻ.

       

Xem nhiều bài của tác giả : Phan Quang