Đề thi học kì 1 (HK1) lớp 12 môn Toán năm 2019 2020 trường THPT Tân Phong TP HCM

  • Đề HK1 Toán 12

Đề thi học kì 1 (HK1) lớp 12 môn Toán năm 2019 2020 trường THPT Tân Phong TP HCM

Để giúp các em học sinh lớp 12 chuẩn bị cho kỳ thi học kì 1 môn Toán, Sytu đã sưu tầm và chia sẻ đề thi, đáp án, và lời giải chi tiết đề thi học kì 1 Toán lớp 12 năm học 2019 – 2020 tại trường THPT Tân Phong, TP Hồ Chí Minh.

Đề thi bao gồm các câu hỏi sau:

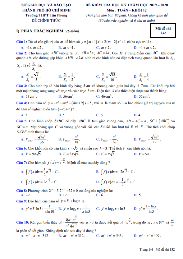
  1. Cho tam giác ABC vuông tại A, AB = 3a, AC = 4a. Gọi M là trung điểm của AC. Khi quay quanh AB, các đường gấp khúc AMB, ACB sinh ra các hình nón có diện tích xung quanh lần lượt là S1, S2. Hãy tính tỉ số S1/S2.
  2. Cho khối tứ diện ABCD. Lấy điểm M nằm giữa A và B, điểm N nằm giữa C và D. Bằng hai mặt phẳng (CDM) và (ABN), ta chia khối tứ diện đó thành bốn khối tứ diện. Hãy xác định các khối tứ diện đó là gì?
  3. Cho hình trụ có bán kính đáy bằng 5cm và khoảng cách giữa hai đáy là 7cm. Cắt khối trụ bởi một mặt phẳng song song với trục và cách trục 3cm. Diện tích S của thiết diện được tạo thành là bao nhiêu?

Đề thi này sẽ giúp các em ôn tập và nắm vững kiến thức để tự tin làm bài trong kỳ thi học kỳ 1 sắp tới. Chúc các em học tốt!

Đánh giá bài viết cho thầy/cô vui 

0 / 5 0

Your page rank:

Avatar of Phan Quang
       

Về tác giả : Phan Quang

Giáo viên Toán học xuất sắc, sinh năm 1985 tại Hà Nội. Tốt nghiệp Đại học Sư phạm Hà Nội với bằng cử nhân Toán học, thầy có hơn 10 năm kinh nghiệm giảng dạy cấp 2 và ôn thi vào 10. Năm 2024, thầy sáng lập website daygioi.com – nền tảng giáo dục trực tuyến miễn phí, cung cấp bài giảng video, bài tập tương tác và tài liệu ôn tập cho hàng ngàn học sinh Việt Nam. Với phong cách dạy gần gũi, sáng tạo, thầy luôn khơi dậy niềm đam mê Toán học qua ví dụ đời thường. Được phụ huynh và học sinh yêu mến, thầy là nguồn cảm hứng cho thế hệ giáo viên trẻ.

       

Xem nhiều bài của tác giả : Phan Quang