Đề thi học kì 1 (HK1) lớp 11 môn Toán năm 2019 2020 trường THPT Quốc Oai Hà Nội

  • Đề HK1 Toán 11

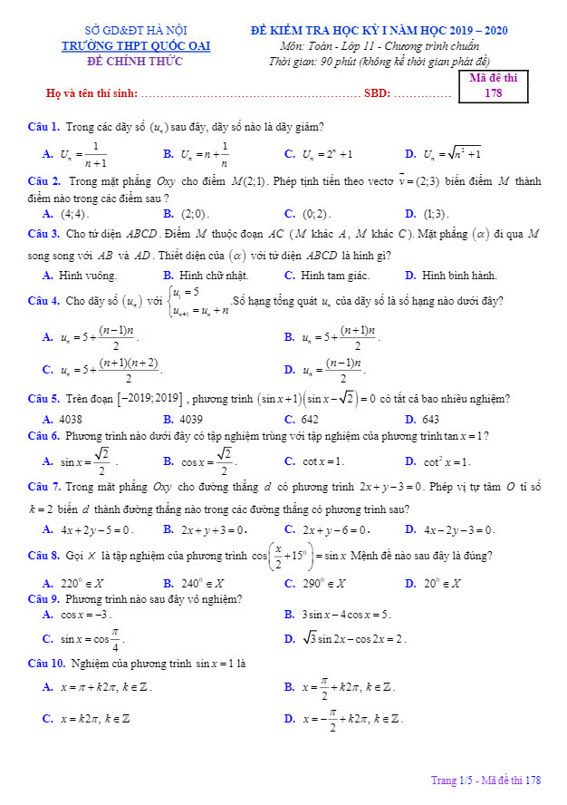
Đề thi học kỳ 1 Toán lớp 11 năm 2019 – 2020 trường THPT Quốc Oai Hà Nội mang mã đề 178 là một bài kiểm tra khá đầy đủ và đa dạng với 50 câu trắc nghiệm trải dài trên 5 trang đề. Thời gian làm bài được giới hạn trong 90 phút, đòi hỏi sự tập trung và nhanh nhẹn từ các học sinh.Để làm bài thi này tốt, học sinh cần ôn lại và nắm vững các kiến thức cơ bản về lượng giác, tổ hợp và xác suất, dãy số, các phép biến hình, đường thẳng và mặt phẳng trong không gian, quan hệ song song… Đề thi cũng cung cấp đáp án cho các mã đề 178, 211, 377, 482 để học sinh tự kiểm tra và đánh giá kết quả của mình sau khi làm bài.Nội dung bài thi mở đầu bằng việc kiểm tra kiến thức về mặt phẳng và đường thẳng trong không gian, với các câu hỏi về tính chất của các mặt phẳng song song, các đường thẳng chéo nhau, hoặc phép biến hình của hình chóp tứ giác. Điều này giúp cho học sinh củng cố và áp dụng kiến thức học được vào thực tế thông qua các bài toán ứng dụng.Bên cạnh đó, đề thi cũng đưa ra các câu hỏi về tam giác và tâm của tam giác, từ đó giúp học sinh nắm vững hơn về phép tịnh tiến và cách thức biến đổi hình học. Một số câu hỏi về xác suất cũng được đưa ra để khuyến khích học sinh suy nghĩ logic và làm việc nhóm để giải quyết vấn đề.Tổng thể, đề thi học kỳ 1 Toán lớp 11 năm 2019 – 2020 trường THPT Quốc Oai Hà Nội là một bài kiểm tra khá đầy đủ và chi tiết, giúp học sinh phát triển kiến thức và kỹ năng một cách toàn diện. Để đạt kết quả tốt, học sinh cần ôn tập kỹ lưỡng và thực hành nhiều bài tập để rèn luyện khả năng giải quyết bài toán và tư duy logic.

Đánh giá bài viết cho thầy/cô vui 

0 / 5 0

Your page rank:

Avatar of Phan Quang
       

Về tác giả : Phan Quang

Giáo viên Toán học xuất sắc, sinh năm 1985 tại Hà Nội. Tốt nghiệp Đại học Sư phạm Hà Nội với bằng cử nhân Toán học, thầy có hơn 10 năm kinh nghiệm giảng dạy cấp 2 và ôn thi vào 10. Năm 2024, thầy sáng lập website daygioi.com – nền tảng giáo dục trực tuyến miễn phí, cung cấp bài giảng video, bài tập tương tác và tài liệu ôn tập cho hàng ngàn học sinh Việt Nam. Với phong cách dạy gần gũi, sáng tạo, thầy luôn khơi dậy niềm đam mê Toán học qua ví dụ đời thường. Được phụ huynh và học sinh yêu mến, thầy là nguồn cảm hứng cho thế hệ giáo viên trẻ.

       

Xem nhiều bài của tác giả : Phan Quang