-
Đề HK1 Toán 11
Đề thi Học kì 1 Toán lớp 11 chuyên năm 2020 – 2021 trường chuyên Lê Hồng Phong Nam Định
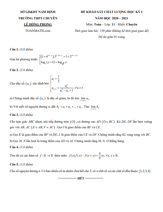
Đề thi Học kì 1 Toán lớp 11 chuyên năm 2020 – 2021 của trường chuyên Lê Hồng Phong Nam Định bao gồm 01 trang với 05 bài toán dạng tự luận, thời gian làm bài 150 phút (không kể thời gian phát đề).
Trích dẫn đề thi Học kì 1 Toán lớp 11 chuyên năm 2020 – 2021 trường chuyên Lê Hồng Phong Nam Định:
+ Đề bài 1: Cho tam giác ABC nhọn, nội tiếp đường tròn (O), có đường cao AD (D thuộc BC). Kẻ DE, DF lần lượt vuông góc với AB, AC (E thuộc AB, F thuộc AC). Gọi I là giao điểm của BF và CE.
a) Chứng minh rằng KL song song với BC, trong đó K là giao điểm của BF và DE, L là giao điểm của CE và DF.
b) Chứng minh rằng M, N, O thẳng hàng, trong đó M, N lần lượt là trung điểm của AD và AI.
+ Đề bài 2: Cho số nguyên dương n. Hỏi có bao nhiêu số tự nhiên chia hết cho 3, có n chữ số và các chữ số đều thuộc {1, 2, 3, 6}?
+ Đề bài 3: Tìm tất cả các hàm số f: R → R thỏa mãn: f(x)f(y) – f(x + y) = 4/9 xy với mọi x, y thuộc R.
Đề thi Học kì 1 Toán lớp 11 chuyên năm 2020 – 2021 trường chuyên Lê Hồng Phong Nam Định mang đến cho học sinh những bài toán thú vị, đòi hỏi sự tư duy logic và khả năng giải quyết vấn đề. Hy vọng các em sẽ tự tin và thành công trong kỳ thi này!