Đề thi học kì 1 (HK1) lớp 10 môn Toán năm học 2018 2019 trường THPT Thị Xã Quảng Trị

  • Đề HK1 Toán 10

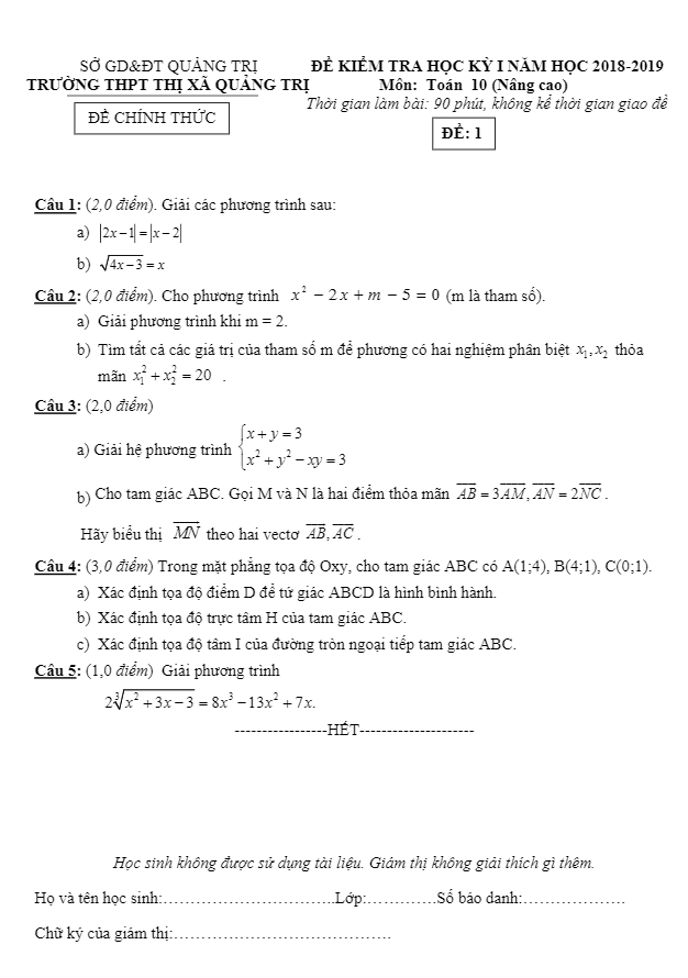
Đề thi học kì 1 Toán lớp 10 trường THPT Thị Xã Quảng Trị năm học 2018 – 2019

Đề thi học kỳ 1 môn Toán lớp 10 năm học 2018 – 2019 trường THPT Thị Xã Quảng Trị dành cho các lớp học theo chương trình nâng cao. Bao gồm 2 mã đề 01 và 02, đề thi được biên soạn theo hình thức tự luận hoàn toàn với 5 bài toán. Thời gian làm bài thi là 90 phút, đề thi có lời giải chi tiết để học sinh tham khảo.

Ví dụ về một trong những bài toán trong đề thi:

Trong mặt phẳng tọa độ Oxy, cho tam giác ABC có các đỉnh A(1;4), B(4;1), C(0;1). Hỏi tọa độ điểm D để tứ giác ABCD là hình bình hành? Tính tọa độ trực tâm H của tam giác ABC và tọa độ tâm I của đường tròn ngoại tiếp tam giác ABC.

Bên cạnh đó, đề thi còn đưa ra các bài toán khác như xác định vị trí của điểm M, N trong tam giác ABC, cũng như giải phương trình bậc hai với tham số m để tìm giá trị thỏa mãn điều kiện nhất định.

Đề thi Toán học kỳ 1 lớp 10 là cơ hội để học sinh thử sức, rèn luyện kiến thức và kỹ năng giải quyết vấn đề trong môn Toán. Nó cũng giúp học sinh nắm vững kiến thức đã học và chuẩn bị tốt cho kỳ thi cuối kì sắp tới.

Đánh giá bài viết cho thầy/cô vui 

0 / 5 0

Your page rank:

Avatar of Phan Quang
       

Về tác giả : Phan Quang

Giáo viên Toán học xuất sắc, sinh năm 1985 tại Hà Nội. Tốt nghiệp Đại học Sư phạm Hà Nội với bằng cử nhân Toán học, thầy có hơn 10 năm kinh nghiệm giảng dạy cấp 2 và ôn thi vào 10. Năm 2024, thầy sáng lập website daygioi.com – nền tảng giáo dục trực tuyến miễn phí, cung cấp bài giảng video, bài tập tương tác và tài liệu ôn tập cho hàng ngàn học sinh Việt Nam. Với phong cách dạy gần gũi, sáng tạo, thầy luôn khơi dậy niềm đam mê Toán học qua ví dụ đời thường. Được phụ huynh và học sinh yêu mến, thầy là nguồn cảm hứng cho thế hệ giáo viên trẻ.

       

Xem nhiều bài của tác giả : Phan Quang