Đề thi học kì 1 (HK1) lớp 10 môn Toán năm học 2016 2017 trường Nguyễn Thị Minh Khai TP.HCM

  • Đề HK1 Toán 10

Đề thi học kì 1 (HK1) lớp 10 môn Toán năm học 2016 2017 trường Nguyễn Thị Minh Khai TP.HCM

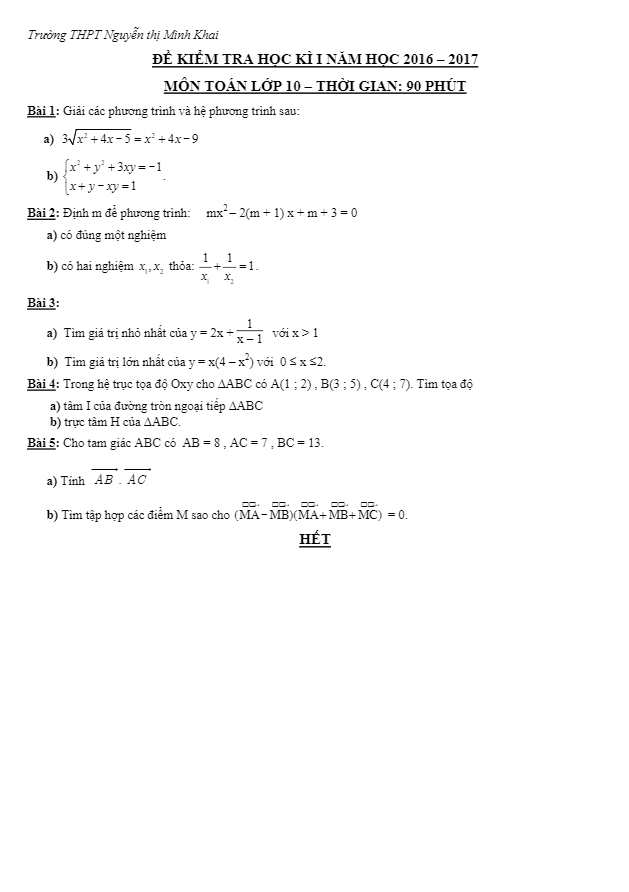
Đề thi học kì 1 môn Toán lớp 10 năm học 2016 – 2017 của trường Nguyễn Thị Minh Khai TP.HCM là bộ đề gồm 5 bài toán tự luận, mỗi bài đều có hướng dẫn giải và thang điểm cụ thể.

Trích một số bài toán trong đề:

  1. Trong hệ trục tọa độ Oxy, cho ∆ABC có A(1 ; 2) , B(3 ; 5) , C(4 ; 7). Yêu cầu tìm tọa độ:
  • a) Tâm I của đường tròn ngoại tiếp ∆ABC.
  • b) Trực tâm H của ∆ABC.

Đề thi này không chỉ đưa ra các bài toán về hình học, mà còn giúp học sinh rèn luyện kỹ năng giải toán, tư duy logic và logic học một cách có tổ chức. Điều này giúp học sinh nâng cao kiến thức và kỹ năng Toán của mình, chuẩn bị tốt cho các kì thi và kỳ học sau.

Đánh giá bài viết cho thầy/cô vui 

0 / 5 0

Your page rank:

Avatar of Phan Quang
       

Về tác giả : Phan Quang

Giáo viên Toán học xuất sắc, sinh năm 1985 tại Hà Nội. Tốt nghiệp Đại học Sư phạm Hà Nội với bằng cử nhân Toán học, thầy có hơn 10 năm kinh nghiệm giảng dạy cấp 2 và ôn thi vào 10. Năm 2024, thầy sáng lập website daygioi.com – nền tảng giáo dục trực tuyến miễn phí, cung cấp bài giảng video, bài tập tương tác và tài liệu ôn tập cho hàng ngàn học sinh Việt Nam. Với phong cách dạy gần gũi, sáng tạo, thầy luôn khơi dậy niềm đam mê Toán học qua ví dụ đời thường. Được phụ huynh và học sinh yêu mến, thầy là nguồn cảm hứng cho thế hệ giáo viên trẻ.

       

Xem nhiều bài của tác giả : Phan Quang