Đề thi học kì 1 (HK1) lớp 10 môn Toán năm 2019 2020 trường Hoàng Hoa Thám TP HCM

  • Đề HK1 Toán 10

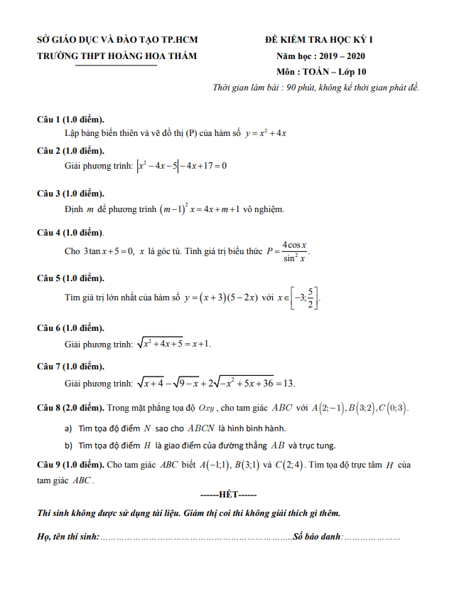
Đề thi học kỳ 1 Toán lớp 10 năm học 2019 – 2020 trường Hoàng Hoa Thám TP HCM

Sytu xin gửi đến quý thầy cô và các em học sinh lớp 10 đề thi học kì 1 môn Toán năm học 2019 – 2020 của trường THPT Hoàng Hoa Thám, thành phố Hồ Chí Minh. Đề thi bao gồm đáp án và lời giải chi tiết cho các bài toán sau:

– Trên mặt phẳng tọa độ Oxy, có tam giác ABC với A(2; -1), B(3; 2), C(0; 3). Yêu cầu tìm tọa độ điểm N sao cho ABCN là hình bình hành và tọa độ điểm H là giao điểm của đường thẳng AB và trục tung.

– Lập bảng biến thiên và vẽ đồ thị của hàm số y = x^2 + 4x.

– Cho 3tanx + 5 = 0 với x là góc tù. Bài toán yêu cầu tính giá trị của biểu thức P = 4cosx/(sinx)^2.

Đây là những bài toán thú vị, đa dạng và phong phú mà các em học sinh lớp 10 có thể tham gia để nâng cao kiến thức và kỹ năng giải toán của mình. Hy vọng rằng đề thi này sẽ giúp ích cho quá trình học tập của các em. Chúc các em thành công!

Đánh giá bài viết cho thầy/cô vui 

0 / 5 0

Your page rank:

Avatar of Phan Quang
       

Về tác giả : Phan Quang

Giáo viên Toán học xuất sắc, sinh năm 1985 tại Hà Nội. Tốt nghiệp Đại học Sư phạm Hà Nội với bằng cử nhân Toán học, thầy có hơn 10 năm kinh nghiệm giảng dạy cấp 2 và ôn thi vào 10. Năm 2024, thầy sáng lập website daygioi.com – nền tảng giáo dục trực tuyến miễn phí, cung cấp bài giảng video, bài tập tương tác và tài liệu ôn tập cho hàng ngàn học sinh Việt Nam. Với phong cách dạy gần gũi, sáng tạo, thầy luôn khơi dậy niềm đam mê Toán học qua ví dụ đời thường. Được phụ huynh và học sinh yêu mến, thầy là nguồn cảm hứng cho thế hệ giáo viên trẻ.

       

Xem nhiều bài của tác giả : Phan Quang