Đề thi học kì 1 (HK1) ban nâng cao trường Chu Văn An Hà Nội 2013 2014

  • Đề HK1 Toán 10

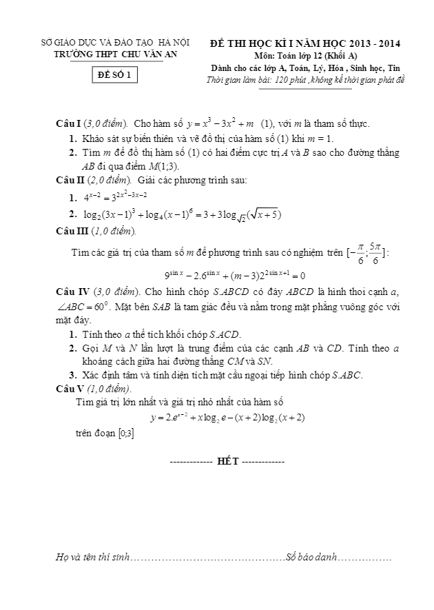
Đề thi HK1 lớp 10 ban nâng cao trường Chu Văn An – Hà Nội năm học 2013 – 2014

Đề thi HK1 lớp 10 ban nâng cao trường Chu Văn An – Hà Nội năm học 2013 – 2014 là một đề thi khá đa dạng với 6 bài toán khó khăn. Đề thi này bao gồm các nội dung sau:

  • Khảo sát hàm số và tìm điều kiện của m
  • Giải phương trình và hệ phương trình
  • Bài toán tọa độ
  • Bài toán tọa độ liên quan vector
  • Bài tính và chứng minh vector
  • Biện luận phương trình chứa căn

Đề thi này không chỉ là một bài kiểm tra mà còn là một bài học quý giá giúp học sinh rèn luyện kỹ năng suy luận, phân tích và giải quyết vấn đề. Với cấu trúc và nội dung đa dạng, đề thi này giúp học sinh phát triển toàn diện các kỹ năng toán học của mình.

Đánh giá bài viết cho thầy/cô vui 

0 / 5 0

Your page rank:

Avatar of Phan Quang
       

Về tác giả : Phan Quang

Giáo viên Toán học xuất sắc, sinh năm 1985 tại Hà Nội. Tốt nghiệp Đại học Sư phạm Hà Nội với bằng cử nhân Toán học, thầy có hơn 10 năm kinh nghiệm giảng dạy cấp 2 và ôn thi vào 10. Năm 2024, thầy sáng lập website daygioi.com – nền tảng giáo dục trực tuyến miễn phí, cung cấp bài giảng video, bài tập tương tác và tài liệu ôn tập cho hàng ngàn học sinh Việt Nam. Với phong cách dạy gần gũi, sáng tạo, thầy luôn khơi dậy niềm đam mê Toán học qua ví dụ đời thường. Được phụ huynh và học sinh yêu mến, thầy là nguồn cảm hứng cho thế hệ giáo viên trẻ.

       

Xem nhiều bài của tác giả : Phan Quang