Đề thi GVDG cấp tỉnh năm học 2018 2019 môn Toán THPT sở GD và ĐT Bắc Ninh

  • KSCL Giáo Viên Toán

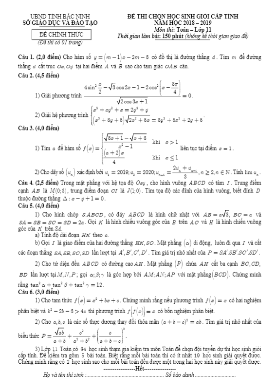
Đề thi GVDG cấp tỉnh năm học 2018 – 2019 môn Toán THPT sở GD và ĐT Bắc Ninh là một bài kiểm tra năng lực chuyên môn dành cho giáo viên Toán khối THPT. Đề thi này được thiết kế với mã đề 268, gồm 6 trang với tổng cộng 50 câu trắc nghiệm, thời gian làm bài được xác định là 90 phút.Một số câu hỏi trong đề thi GVDG cấp tỉnh năm học 2018 – 2019 môn Toán THPT sở GD và ĐT Bắc Ninh đề cập đến các kiến thức chuyên sâu trong môn học. Ví dụ, một câu hỏi thường gặp là về việc xác định các mệnh đề đúng. Các mệnh đề như “Nếu hàm số y = f(x) liên tục trên một đoạn và có đạo hàm tại mọi điểm thuộc đoạn đó” được xem xét cẩn thận để đảm bảo sự chính xác của câu trả lời.Không chỉ vậy, đề thi cũng thường đưa ra các câu hỏi về việc giải quyết bài toán thực tế. Ví dụ, một câu hỏi có thể đề cập đến số lượng tam giác được tạo ra từ một số điểm trên hai đường thẳng song song.Qua việc làm đề thi GVDG cấp tỉnh năm học 2018 – 2019 môn Toán THPT sở GD và ĐT Bắc Ninh, giáo viên Toán không chỉ có cơ hội kiểm tra năng lực chuyên môn mà còn được thách thức với các bài toán đa dạng và phong phú, giúp họ nâng cao kiến thức và kỹ năng giảng dạy.

Đánh giá bài viết cho thầy/cô vui 

0 / 5 0

Your page rank:

Avatar of Phan Quang
       

Về tác giả : Phan Quang

Giáo viên Toán học xuất sắc, sinh năm 1985 tại Hà Nội. Tốt nghiệp Đại học Sư phạm Hà Nội với bằng cử nhân Toán học, thầy có hơn 10 năm kinh nghiệm giảng dạy cấp 2 và ôn thi vào 10. Năm 2024, thầy sáng lập website daygioi.com – nền tảng giáo dục trực tuyến miễn phí, cung cấp bài giảng video, bài tập tương tác và tài liệu ôn tập cho hàng ngàn học sinh Việt Nam. Với phong cách dạy gần gũi, sáng tạo, thầy luôn khơi dậy niềm đam mê Toán học qua ví dụ đời thường. Được phụ huynh và học sinh yêu mến, thầy là nguồn cảm hứng cho thế hệ giáo viên trẻ.

       

Xem nhiều bài của tác giả : Phan Quang