Đề thi giữa học kỳ I năm học 2017 2018 lớp 12 môn Toán trường THPT Tây Hồ Hà Nội

  • Đề giữa HK1 Toán 12

Đề thi giữa học kỳ I năm học 2017 – 2018 môn Toán lớp 12 trường THPT Tây Hồ – Hà Nội

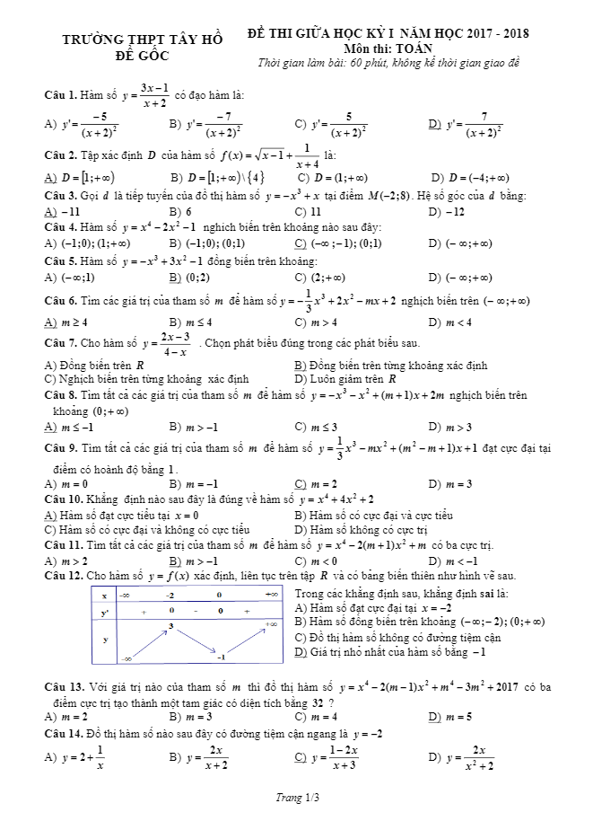
Đề thi gồm 33 câu hỏi trắc nghiệm và thời gian làm bài là 60 phút. Dưới đây là một số ví dụ về câu hỏi trong đề thi:

Câu 1: Cho một tứ diện đều có chiều cao h. Ở ba góc của tứ diện, người ta cắt đi các tứ diện đều bằng nhau có chiều cao x để khối đa diện còn lại có thể tích bằng một nửa thể tích tứ diện đều ban đầu. Giá trị của x là bao nhiêu?

Câu 2: Cho hình chóp S.ABC có đáy ABC là tam giác đều cạnh a, SA vuông góc (ABC). Góc giữa SB và đáy bằng 60 độ. Khoảng cách d giữa AC và SB là:

A. d = 2a

B. d = √2a/2

C. d = √15a/5

D. d = √7a/7

Câu 3: Cho hàm số y = f(x) có đồ thị như hình sau. Trong các mệnh đề sau, mệnh đề sai là:

A. Hàm số đạt cực tiểu tại x = -2

B. Hàm số đồng biến trên khoảng (-2, 4)

C. Hàm số có hai cực trị

D. Đồ thị hàm số và trục Ox có hai điểm chung

Các câu hỏi trên là một phần nhỏ trong đề thi. Học sinh cần phải kiến thức và kỹ năng tính toán để có thể đạt điểm cao trong bài kiểm tra này.

Đánh giá bài viết cho thầy/cô vui 

0 / 5 0

Your page rank:

Avatar of Phan Quang
       

Về tác giả : Phan Quang

Giáo viên Toán học xuất sắc, sinh năm 1985 tại Hà Nội. Tốt nghiệp Đại học Sư phạm Hà Nội với bằng cử nhân Toán học, thầy có hơn 10 năm kinh nghiệm giảng dạy cấp 2 và ôn thi vào 10. Năm 2024, thầy sáng lập website daygioi.com – nền tảng giáo dục trực tuyến miễn phí, cung cấp bài giảng video, bài tập tương tác và tài liệu ôn tập cho hàng ngàn học sinh Việt Nam. Với phong cách dạy gần gũi, sáng tạo, thầy luôn khơi dậy niềm đam mê Toán học qua ví dụ đời thường. Được phụ huynh và học sinh yêu mến, thầy là nguồn cảm hứng cho thế hệ giáo viên trẻ.

       

Xem nhiều bài của tác giả : Phan Quang