Đề thi giữa học kì 2 (HK2) lớp 12 môn Toán năm 2020 2021 trường chuyên Ngoại Ngữ Hà Nội

  • Đề giữa HK2 Toán 12

Đề thi giữa kỳ 2 Toán lớp 12 năm 2020 – 2021 trường chuyên Ngoại Ngữ – Hà Nội

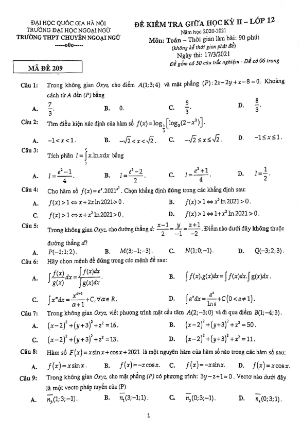
Vào ngày Thứ Tư, ngày 17 tháng 03 năm 2021, trường THPT chuyên Ngoại Ngữ, trường Đại học Ngoại Ngữ, Đại học Quốc gia Hà Nội đã tổ chức kỳ thi kiểm tra giữa học kì 2 môn Toán lớp 12 năm học 2020 – 2021. Đề thi gồm mã đề 209 với tổng cộng 50 câu trắc nghiệm trải dài trên 06 trang. Thời gian làm bài cho bài thi này là 90 phút.

Đề thi giữa kỳ 2 Toán lớp 12 năm 2020 – 2021 trường chuyên Ngoại Ngữ Hà Nội đã thu hút sự quan tâm của đông đảo học sinh cũng như phụ huynh. Đây là một cơ hội để các học sinh thể hiện khả năng và kiến thức của mình trong môn học quan trọng này. Hy vọng rằng, sau kỳ thi này, các em sẽ có những kết quả tốt và tiến xa trên con đường học tập của mình.

Đánh giá bài viết cho thầy/cô vui 

0 / 5 0

Your page rank:

Avatar of Phan Quang
       

Về tác giả : Phan Quang

Giáo viên Toán học xuất sắc, sinh năm 1985 tại Hà Nội. Tốt nghiệp Đại học Sư phạm Hà Nội với bằng cử nhân Toán học, thầy có hơn 10 năm kinh nghiệm giảng dạy cấp 2 và ôn thi vào 10. Năm 2024, thầy sáng lập website daygioi.com – nền tảng giáo dục trực tuyến miễn phí, cung cấp bài giảng video, bài tập tương tác và tài liệu ôn tập cho hàng ngàn học sinh Việt Nam. Với phong cách dạy gần gũi, sáng tạo, thầy luôn khơi dậy niềm đam mê Toán học qua ví dụ đời thường. Được phụ huynh và học sinh yêu mến, thầy là nguồn cảm hứng cho thế hệ giáo viên trẻ.

       

Xem nhiều bài của tác giả : Phan Quang